2022-10-08
28.(15分)(1)+247.1(2分)(2)①0.05(2分)②(或33%)(2分)③÷(2分)④=(1分)c/mol L-I1.75(15,(201.00)0.75C(0)5101520tmin(2分)(3)m1g之前反应未达到平衡,压强增大,反应速率加快,C2的体积分数减小(2分)m1g之后反应达到平衡状态,压强增大,平衡逆向移动,CO2的体积分数增大(2分)【解析】(1)根据盖
2022-10-08
21-23CAD 18.①坚持党对一切工作的领导,党的领导是2中国特色社会主义制度的最大优势,是打脱贫攻坚战的根本保证。发挥好党总揽全局、协调各方的领导核心作用,对脱贫攻坚战进行顶层设计,为扶贫开发工作制定科学的方针、政策。(2分)②宣传党中央脱贫攻坚的战略部署和新发理念,统一思想动员全社会力量泛参与扶贫事业,为打赢脱贫攻坚战提供精神动力和方向保证。(2分)③践行好立党为公、执政为
2022-10-08
26.(14分)(1)增大固体表面积,提高酸浸速率和原料利用率(1分)SO2(1分)(2)ClO3+6Fe2++6H=Cl+6Fe3+3H2((2分)(3)5.0≤pH<6.9(2分)(4)2CoCl2·6H2O+H2O2+10NH1·H2(+2NH, CI-2[Co(NH, )s]Ch+24H2 O(u 2CoClz+H2O2+I0NH,.H,O+2NH, Clams2[Co(N
2022-10-08
17.(1)①居民应依法行使各项民主权利,切实对居民泰员会的作和相关人员的行为进行民主监择。(2分)2居民应自觉遵守先法,法律.坚持权利和义务相统一的则,掔持个人利益和集体利益、国家利益相结合的原则,(2分)居民应该通过居民会议及其他协商共治平台,积极参与公共事务和公益事业的决策,献计献策,积极投身居民自治实践。(2分)(2)我国是人民民主专政的社会主义国家,我国社会主义民主是最广泛、最
2022-10-08
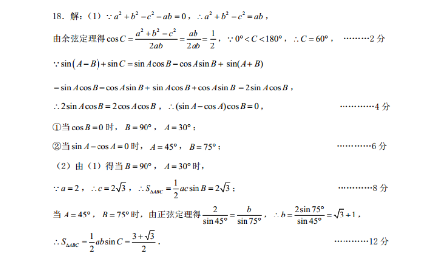
18.解:(1)∵a2+b2-c2-ab=0,:a2+b2-c2=ab,由余弦定理得cosC=-,∵0° ˂c˂180°,∴c=60°,分2ab 2sin(a-b)+sin c="sin" acos b-cos asin b+sin(a+ b)="sin" a cos b+sin b+cos b="0,………4分①当cosB=0时,B=90°,A=30°;②当sinA-cosA=0时,
2022-10-08
17D【解析】根据交变电压的瞬时值u=Um得:5E=Usinn所以U=102V,有效值U=10V,A错误:由闭合电路欧姆定律得:RR=8VB错误:电路中电流了R+=1A,电阻R的热功率为P=R=8W,C错误;矩形线圈热功率P=7r=2WD正确,故选D 38.(15分,除标注外,每空2分)(1)大肠杆菌是单细胞生物,生长繁殖快(2)从人体内直接分离获得的y干扰素基因有内含子,而大肠杆
2022-10-08
45.(1)特点:唯才是举。(2分背景:三国鼎立局面基本形成,曹操希望统一天下,对人才渴求;东汉以来选官制的积弊;东汉以来士风虚矫,士人空谈道德,缺乏实事求是的精神。(6分)(2)评价:曹操唯才是举的选人标准,改变了两汉时期以“察举”为主的用人制度,(2分)一定程度上可以避免官员之间的施恩和报恩的关系;(2分)有利于发挥人才的积极性,对曹魏实力的壮大和统一全国起到推动作用。(1分)但在用
2022-10-08
5.C【解析】物体A、B在N或N'时,A、B之间的摩擦力最大,把A、B作为一个整体进行分析,根据牛顿第二定律可得kx=3m1a,对A进行受力分析可得F=m1a,又由于F1≤/mg,解得≥3,A错误;从N到O31g的过程中,对A、B和弹簧组成的系统进行分析,根据功能关系可得E,?(m1+2m1)va,对物体B进行分析,根据动能定理可得Ep+W=2×2m;,解得E,B错误;当A、B运动到O点
2022-10-08
4.D(“尤其是对那些季节性、流动性强、人员需求量大的规模企业来说,此方式更无作用”分析错误,根据“尤其是具有季节性、流动性强的规模企业,短时间内将会有近千上万的用工需求,需要·云招聘’提升网络招聘效果,或者线上线下相结合的多种渠道”的信息可知,原文没有否定云招聘方式,没有说云招聘方式无作用,只是说这些企业要采取多种渠道进行招聘)5.B(“拒绝中小企业入场”与原文不符。根据原文中“想进场
2022-10-08
第二部分语言运用第一节【语篇类型】记叙文【主题语境】人与自我—一个人经历【文章大意】本文通过讲述 Sias Bedingar求学的经历告诉正在寻梦的学子们,永远不要看轻自己,如果你想有所成就,那就行动起来。【核心素养】文章讲迷了一开始不会讲英语的 Asias Bedingar来到美囚求学的故事,激励考生坚定目标,积极进取,不断超越和突破自己,体现了文化意识这一核心素养。熟词新义1.mno
2023-04-05admin
2023-04-05admin
2023-04-05admin
2023-04-05admin
2023-04-05admin
2023-04-05admin
2023-02-24admin
2023-02-24admin
2023-02-24admin
2023-02-24admin
扫码二维码
获取最新动态
