2022-2023学生双语报第九期答案高一,目前学生双语报答案网已经整理了2022-2023学生双语报第九期答案高一的各科答案和试卷,更多学生双语报答案请关注本网站。


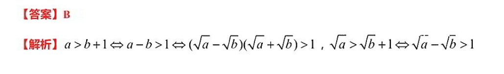
【答案】B【解折】a>b+1台a-b>1台(Na-b)(a+√b)>1,√a>√b+1÷Va-√b>1∴.a>b+1√a>√b+1,不充分Va>√b+1→a-Vb>1三Va+Vb>1,a-b>1,必要.“a>b+1”是“Va>√b+1”的必要不充分条件,选B.



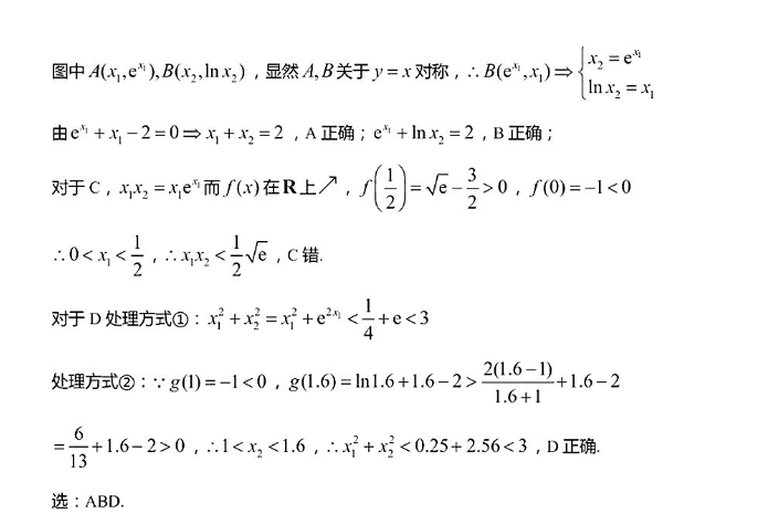
【答案】ABD【解析]法一:e+x,-2=0,①lnx3+x2-2=0,②+=In+=e +Inx2h(x)=e*+x在(0,+o)刀,x2=nx,代入@,.e+lnx2=2,B对.x=lnx2代入②,+x2=2,A对x2=X1·e,令m(x)=xe,x>0,则m(x)在(0,+o)7对于@,f在0+w)7,9l=E+片2=E-00c分%
<付)9,c错+听=+e产在0 ,+e<+e<3,d对法二:反函数e*="2-x,Inx=2-xBX2" e图中a(x,e),b(x2,lnx),显然a,b关于y="x对称,∴.B(e,x)→Inx2" =x由e+-2="0→,+x2=2,A正确;e+lnx2=2,B正确;对于c,=e而在R上/,日=6-">
0,0=-1<00
