2022-2023学生双语报七年级36答案,目前学生双语报答案网已经整理了2022-2023学生双语报七年级36答案的各科答案和试卷,更多学生双语报答案请关注本网站。

三、1.【答案】A【解析】A项,本文开篇第一段没有设置悬念,第二段运用倒叙的手法。2.【参考答案】①奋不顾身,保护游客:②善待小灰,心存大爱:③与时俱进,敢于创新;④纯朴乐观,细心体贴1【参考答案】示例一,不可以别去。理由:①紧扣“驴友”照应题日,呼应开头:Q分)@进一步突出丰(答出三条即可,各2分)象,他就是一头忠实的驴,他舍己为人的崇高品质赢得了村民的爱戴和软敏:(2分)③牛忠学驴鸣,佰现在只孤鸣,没有了之前的一唱一和,增强了作品的悲剧氛围:(2分)④以喜剧开头,以悲刷结束,前后对比,使马手示例二,可以删去。⊙到这里,这篇作品的结构是完整的,人物形象鲜明突出,期去不能响全文主份,口分)②前文已有当地政府授予马丰“烈士”称号,表达了人们对马丰紫高的敏意,口分)③别去不影前后欧的的人物形象更加鲜明突出。(1分)主旨:(1分)④结尾戛然而止,干净利落。(1分)

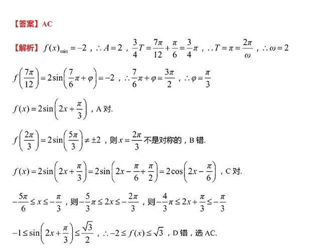
【答案】AC412}-2mx+小-2g+9-3π.9=30a6)a}-2n(}22.则r=号不税对的,B错3u0-2sm2r+}2m2r-专+引-2om2r-周.c对g≤≤则≤2≤-,则s2+肾≤-骨-152r+}952ms5,D指,造C
