
2.C【解析】孟德尔在豌豆开花前去雄和授粉,实现亲本的杂交,A项错误;孟德尔提出的假说之一是“体细胞中遗传因子是成对存在的”,B项错误;为了验证作出的假设是否正确,孟德尔设计并完成了测交实验,C项正确;孟德尔发现的遗传规律能够解释真核生物氵有性生殖的核基因的遗传现象核基因包含性染色体上的基因,D项错误。


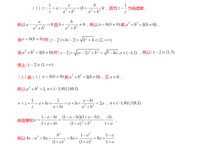
(1)=--=aa'+b+(b+),因为=--为纯虚数tb所以a0且b+a2+b2≠0,所以a=0(b≠0)或a2+b2=1(b≠0)a +b当a=0b≠0时:-2Hb-2|=√b2+4∈(2,+x)当a2+b2=1b≠0时1:-2=√a-2)2+b2=5-4a,a∈(-1),所以:-2k(.3综上|-2∈(1,+∞)(2)由(1)a=0b≠0)或a2+b2=1(b≠0),又a≠0所以a2+b2=1,a∈(-1,0)(0,1)v=-+-=a+bi+=a+bi+a+bia2+b2-20,a∈(-10)U(0.nI-a-bi (I-a-bi(+a-bi) -bi由题意知∥=1+a+bi(1+a)2+bI+a所以4v-12=8a+(1+a)(1+a)21+a=8a+1)+2-9≥216-9=-1,当且仅当=-时,等号成立a+1所以4y-2的最小值为-1
以上就是2022英语周报七年级下册第44期答案,更多英语周报答案请关注本网站。
本文地址: http://www.ncneedu.cn/post/1795.html
文章来源:admin
版权声明:除非特别标注,否则均为本站原创文章,转载时请以链接形式注明文章出处。
2023-04-05admin
2023-04-05admin
2023-04-05admin
2023-04-05admin
2023-04-05admin
2023-04-05admin
2023-02-24admin
2023-02-24admin
2023-02-24admin
2023-02-24admin
扫码二维码
获取最新动态
