2022-2023学生双语报八上16期答案,目前学生双语报答案网已经整理了2022-2023学生双语报八上16期答案的各科答案和试卷,更多学生双语报答案请关注本网站。



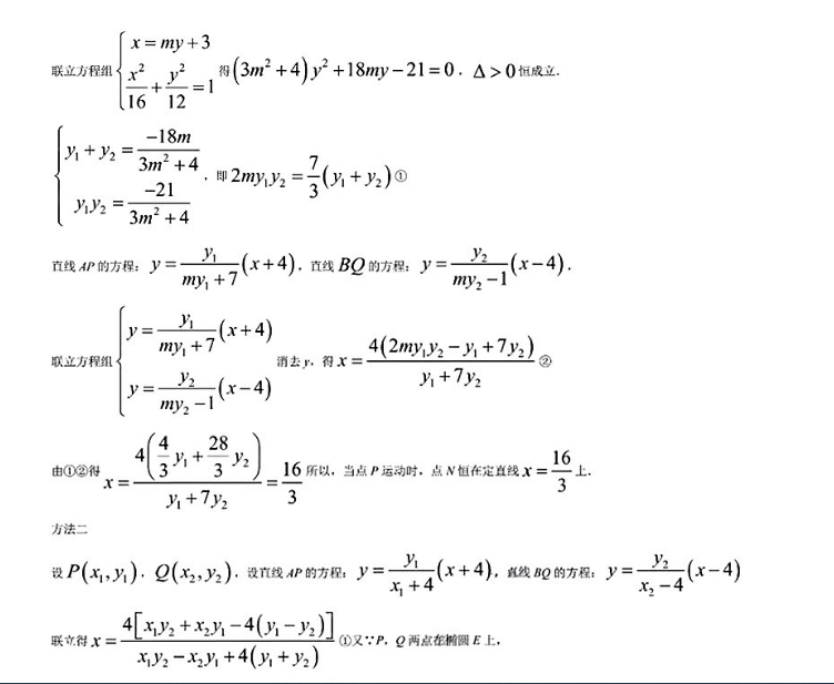
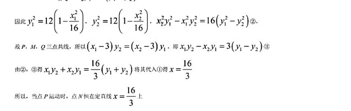
2W3-2√5此时DP=6DM,所DP=-6DPM20.)解:设椭圆的焦距为2,则耳(-C,0).F(c,0),A(-a,0).B(a,0)AE=(a+c,0),AE=(a-c,0)由AF=3AF斜a+c=3(a-c),即a=2c由△PFF的周长为12.得2a+2c=12,所以a=4.C=2.b2=12,>y故椭圆E的方程为:1612B(2)解:设直线Pe的方程:x=my+3,P(x,y).2(x2,2)(此处若设点斜式方程,需要讨论斜率是否存在,无讨论的扣1分,贝讨论斜路不存在的情况给1分)x=my+3联x功£+广-=1n(3r+4y+18mv-21=0.△>0政之1612-18my+为=m2+4-212-3+为02=3m2+4a如防y+7+)u0防y--y++联立方程组消去,得X=4(2myy2-4+7l@片+7y216由①②得16所以,当点P运动时,点N恒在定直线X=上X=3片+7y23方法二aP(,)小Q(,)n品y十4+4,.股e的品y之4-)4[y+x4-4(4-]联计得X=(⊙又:P,Q两点控椭圆E上,xy2-x2y+4(y+y2)股听-后=就-=6防-e放PM,三点共线,所以(x-3)片=(2-3)片,即x-x,y=3(出-y2)®8路+xy=以+为)@mx1616所以,当点P运动时,点N恒在定直线X=上3

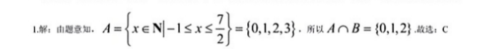
maA=reN-1s≤}-aL2头.微AnB=0L2a,c
