



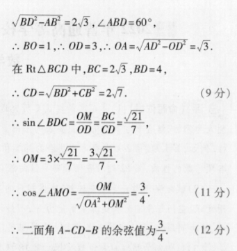
18.【命题意图】本题以四面体为载体,考查面面垂直的判定、二面角的余弦值的求解,体现了直观想象、逻辑推理、数学运算等核心素养(1)【证明】:平面ABD⊥平面BCD,∠CBD=90°,平面ABD∩平面BCD=BD,CBC平面BCD,CB⊥平面ABD(1分)∵ADC平面ABD,,CB⊥AD(2分)又∠BAD=90°,即AD⊥BA,且CB∩AB=B,AD⊥平面ABC.(3分)∵ADC平面ACD,∴平面ABC⊥平面ACD(4分)(2)【解】方法一如图(1),过点A作AO⊥BD,垂足为点O.∵平面ABD⊥平面BCD,平面ABD∩平面BCD=BD,AOc平面ABD,∴AO⊥平面BCD(5分)在R△ABD中,AB=2,BD=4,则AD=23,∠ABD=60°BO=1,OD=3,OA=√3(6分)以O为坐标原点,OB所在直线为x轴,过点O且与BC平行的直线为y轴OA所在直线为z轴,建立空间直角坐标系.(7分)图易得A(0,0,3),B(1,0,0),C(1,23,0),D(-3,0,0),.Di=(3,0,3),DC=(4,23,0).(8分)设平面ACD的法向量为n=(x,y,x),n2lDe.n=0,14x+2.3y=0令x=√3,则平面ACD的一个法向量为n=(3,-2,-3)(9分)又平面BCD的一个法向量为m=(0,0,1)(10分)cos(m,n)=m=3=-3.(11分)由图可知,二面角ACD-B为锐角,故二面角A-CD-B的余弦值为(12分)方法二如图(2),过点A作AO⊥BD于点O,过点O作OM⊥CD于点M,连接AM图(2)∵平面ABD⊥平面BCD,AOC平面ABD,平面ABD∩平面BCD=BD,∴AO⊥平面BCD(5分)∵CDc平面BCD,,AO⊥CD又CD⊥OM,AO∩OM=0,∴CD⊥平面AOM又AMc平面AOM,CD⊥AM.(6分)∴∠AMO为二面角A-CD-B的平面角.(7分)在Rt△ABD中,AB=2,BD=4,则AD=√BD-AB2=23,∠ABD=60°,∴BO=1,OD=3,OA=√AD-OD=√在Rt△BCD中,BC=23,BD=4,∴CD=√BD+CB2=27(9分)∴sin∠BDC=MBC_√2lOD C 7OM=3×2123277OM∴cos∠AMO=(11分)√OA+OM2∴二面角A-CD-B的余弦值为(12分)


19.[命题立意]考查椭圆的方程,直线与椭圆的位置关系,定点问题;考查数学运算,逻辑推理的核心素养[试题解析](1)由题意得解得{b=√2故椭圆C的标准方程为+2=1(4分)(21明:①由题意知≠0,由{十2一1,清去y,得(x2+2y62)x2-8x0x+16-8y2=0因为点M(x0y0)在椭圆C上,所以x2+23y2=4,则x22x0x+x2=0,即(x-x0)2=0,解得x=x0,y=y所以直线l与椭圆C有且只有一个公共点,即点M(8分)②由(1)知A(-2,0),B(2,0)过点A且与x轴垂直的直线的方程为x=-2结合方程x0x+2y0y-4=0得点P(-2直线BP的斜率k=+22-2则直线BP的方程为y=(10分)因为MN⊥AB于点N,所以N(x0,0),线段MN的中点坐标为(x0,0),令得(x0-2)44-x22y2y0因为x2+2y2-4=0,所以y=4y04y所以直线BP经过线段MN的中点(x,2).(12分)
以上就是2019~2022七下英语周报34期答案,更多英语周报答案请关注本网站。
本文地址: http://www.ncneedu.cn/post/13728.html
文章来源:admin
版权声明:除非特别标注,否则均为本站原创文章,转载时请以链接形式注明文章出处。
2023-04-05admin
2023-04-05admin
2023-04-05admin
2023-04-05admin
2023-04-05admin
2023-04-05admin
2023-02-24admin
2023-02-24admin
2023-02-24admin
2023-02-24admin
扫码二维码
获取最新动态
