

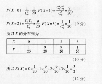
18.【命题意图】本题考查2×2列联表、独立性检验、分层随机抽样、离散型随机变量的分布列和数学期望,体现了数据分析、敏学建模、数学运算等核心素养【解】(1)补充完整的表格如下:18≤年龄≤4545 <年龄≤60合计无意向有意向6合计(2分)所以k2=100×(10×16-10×64)2=714840×80×74×26(4分)因为7.484<10.828,所以没有99.9%的把握认为该小区业主有无注射疫苗的意向和年龄有关(5分)(2)由题意可得抽取的6名业主中“18≤年龄≤45”的有3人,“45<年龄≤60”的有3人(6分)则x的可能取值为0,1,2,3,p(x=0)=3=0,p(x=1)=c3c:9ctp(x=2)cc3c.20p(x=3)=3=(9分)所以x的分布列为02p990(10分)所以e(x)=0×+1×+2×+31302(12分)< p>年龄≤60合计无意向有意向6合计(2分)所以k2=100×(10×16-10×64)2=714840×80×74×26(4分)因为7.484<10.828,所以没有99.9%的把握认为该小区业主有无注射疫苗的意向和年龄有关(5分)(2)由题意可得抽取的6名业主中“18≤年龄≤45”的有3人,“45<年龄≤60”的有3人(6分)则x的可能取值为0,1,2,3,p(x=0)=3=0,p(x=1)=c3c:9ctp(x=2)cc3c.20p(x=3)=3=(9分)所以x的分布列为02p990(10分)所以e(x)=0×+1×+2×+31302(12分)<>

6.D本题主要考查基因与染色体的关系以及遗传定律的相关知识。由图可知,该种动物体色表现为不完全显性A项错误;该种动物体色基因遵循孟德尔定律,B错误;雄性伴性遗传中有一种伴XY遗传(基因在XY同源段),可以不是半合子,C错误;因为雌性粉色个体中产生A2配子的概率为1/2,它与雄性白色任何配子组合,后代个体均为白色,D正确
以上就是英语周报九年级新目标第七期答案,更多英语周报答案请关注本网站。
本文地址: http://www.ncneedu.cn/post/13630.html
文章来源:admin
版权声明:除非特别标注,否则均为本站原创文章,转载时请以链接形式注明文章出处。
2023-04-05admin
2023-04-05admin
2023-04-05admin
2023-04-05admin
2023-04-05admin
2023-04-05admin
2023-02-24admin
2023-02-24admin
2023-02-24admin
2023-02-24admin
扫码二维码
获取最新动态
