
4N7 DABC



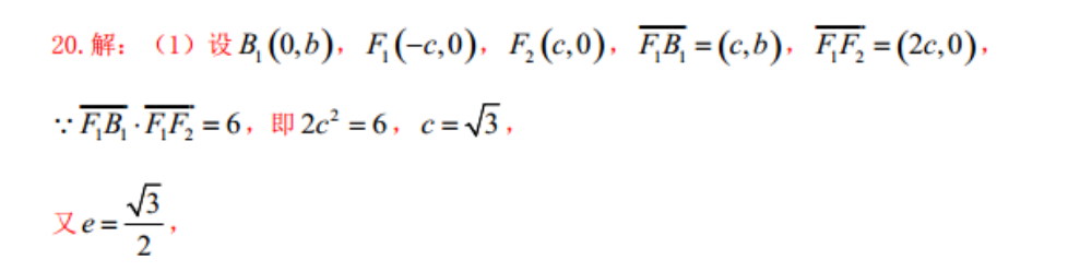
20.解:(1)设B(0b),F1(c,0),F2(c,0),FB=(c,b),FF2=(2c,0)∵FB1·FF2=6,即2c2=6,c=√3,又e=2故椭圆E的方程是+y2=1.(2)气士=k2证明:不妨取点P(m,y),设A(x1,y)B(x2,y2),直线l的方程为x=y+mx=ry+m,直线与椭圆联立得(t2+4)y2+2my+m2-4=0,x2+4y2=4,△>0恒成立,万+≈-2mtVIt2+4直线:x=0y+m,令x=,则,4-mm,即C44nm mt4-m故k,=一yo 1 myoyo I故k2kk3V2-VoMx2k1+k2=二+2==2二r-m r-ryry,y2II yi,y2将()代入得k+k2=二+么+-_2y2-y(x+y)2,当+边Vo即k2(备注:若取Pm,1-写成代数形式,在计算过程中将y表示成代入结果正确一样得分)
以上就是2022英语周报七年级综合能力评估试题答案,更多英语周报答案请关注本网站。
本文地址: http://www.ncneedu.cn/post/12555.html
文章来源:admin
版权声明:除非特别标注,否则均为本站原创文章,转载时请以链接形式注明文章出处。
2023-04-05admin
2023-04-05admin
2023-04-05admin
2023-04-05admin
2023-04-05admin
2023-04-05admin
2023-02-24admin
2023-02-24admin
2023-02-24admin
2023-02-24admin
扫码二维码
获取最新动态
