2022-2023学生双语报初一34期答案,目前学生双语报答案网已经整理了2022-2023学生双语报初一34期答案的各科答案和试卷,更多学生双语报答案请关注本网站。

23.(本小题满分10分)【选修4-5:不等式选讲】解:(1)当x≤-1时,原不等式等价于:-x-1-1+x≤1,即0≤3成立;当-1


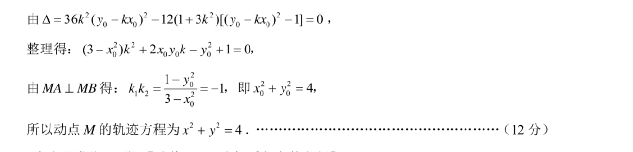
21.(本小题满分12分)解:(1)=6,1P听1+P5=25=2a,解得a=V5,c=V2,b=1所以椭圆C的方程:3+y2=1.…(4分)(2)设动点M(x,%),过点M(xy)的切线方程为y-y=k(x-x),立+=1,得1+3k22+6k(-kx+30%-,)P-3=由△=36k2(y。-kx)2-12(1+3k2)[(-kx)2-1]=0,整理得:(3-x)k2+2xyk-y+1=0,由MLMB得:长,=S=-即G+=43-x所以动点M的轨迹方程为x2+y2=4.……(12分))
