

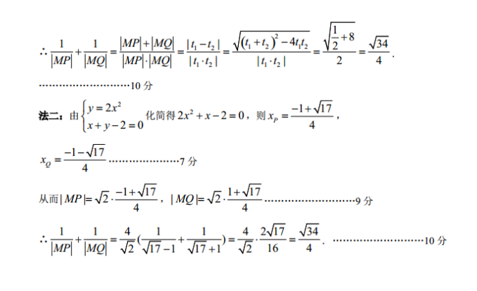
22.(本小题满分10分)选修44:坐标系与参数方程解:(I)曲线C的参数方程为消去参数a得曲线C的普通方程y=2y=cos 2a+12分2pcos(6-)=2, . Pcos 6+psin 6-2=0分又 pcos=x, sine=y∴直线l的直角坐标方程为x+y-2=0(Ⅱ)法一:设直线l的参数方程为(t为参数),将其代入曲线C的直角坐标方程化简得√21-2=0,8分Q_|4-2y+)-4MP MOg 42I1, I210分法二:由化简得2x2+x-2=0,则x从而|MP=√210Fv2.1+V17442√17MPMv7+1+7+)0分

1l.【答案】B【解析】由a2-4ab+16b2,得a2-4ab+1662=c,所以a 4ab 16b=1≥,可得一的最大值为一,当且仅当a=4b时取等号,且c=16b2,则c-4a+324b+46b2-16b+324(b2-b+2)4[(b+1)2-3b+1)+4]4b+4b+1b+144(b+1)+b+13]≥42b+1)b)-3)=4,当且仅当b=1时取得最小值为4故选B
以上就是2018-2022高二34期英语周报课表答案,更多英语周报答案请关注本网站。
本文地址: http://www.ncneedu.cn/post/8787.html
文章来源:admin
版权声明:除非特别标注,否则均为本站原创文章,转载时请以链接形式注明文章出处。
2023-04-05admin
2023-04-05admin
2023-04-05admin
2023-04-05admin
2023-04-05admin
2023-04-05admin
2023-02-24admin
2023-02-24admin
2023-02-24admin
2023-02-24admin
扫码二维码
获取最新动态
