2022-2023学生双语报官网薅羊毛软件答案,目前学生双语报答案网已经整理了2022-2023学生双语报官网薅羊毛软件答案的各科答案和试卷,更多学生双语报答案请关注本网站。

7,C【解析】酶的作用是催化作用,酶的作用机理是降低化学反应的活化能,A错误:酶的作用是催化作用,激素的作用是调节作用,B错误:酶不都是蛋白质,少数酶是RNA,C正确:NA水解酶的本质是蛋白质,D错误。


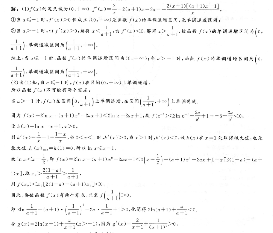
解:1)f(x)的定义城为(0,十o),f'(x)=2-2a+1Dz-2a=-2(x+1)[(a+1)x-1]x①当a≤一1时,f'(x)>0恒成立,(0,十∞)是函数f(x)的单调递增区间,无单调递减区间;②当a>-1时,由f)>0,解得z<。向了)<0,解得>。十故画数f)的单拥递增区间为0,),单调递减区间为(。十中十四综上:当a≤一1时,函数f(x)的单调递增区间为(0,十∞);当a>一1时,函数f(x)的单调递增区间为0中单调递减区间为(。十十)小(2)由(1)知:当a≤一1时,f(x)在区间(0,十∞)上单调递增,所以函数f(x)不可能有两个零,点;当a>-1时,fx)在区间(0,。十)上单调递增,在区同(。+∞上单调递减因为fx)=21nx-(a+1)x-2ax+1<2nx-2ax+1,故fe)<2ne-0+1=-3-∠0,e设h(x)=lnx-x+1,x>0,则'()=】-1=1二工,当0
