2022-2023惠州东湖双语学校学生刊报答案,目前学生双语报答案网已经整理了2022-2023惠州东湖双语学校学生刊报答案的各科答案和试卷,更多学生双语报答案请关注本网站。

4.D【解析】实验的因变量是Na,KATP酶活性和膜脂流动性,A正确:随洗涤次数的增加,膜结合硒含量下降,Na,K-ATP酶活性和藏脂流动怪降低(DPH茨光偏叛度增大),B正痛:对于洗涤次效较多(4次或6次).膜结合硒合量较低的展样品来说,外加硒可使N,KA丁P酶活性和膜脂流动性分别相对不加硒组有很大程度的增加.如Na.K-ATP酶活性由30.8增加到69.2.26.9增加到6的.2.DPH荧光偏振度由0.295降到0.286.0.300降到0.294.C正确:该实验并未探究外加硒对膜的保护作用与函的求度以及硒与红细胞膜样品预处理的时间之间关系,所以无从得知外加硒对膜的保护作用是否与婚的表度以及硒与红细胞膜样品预处理的时间有关,D错误。


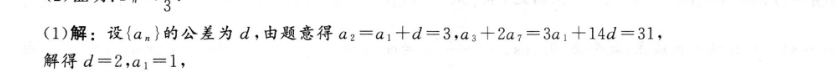
3(1)解:设{am}的公差为d,由题意得a2=a1十d=3,a3十2a7=3a1十14d=31,解得d=2,a1=1,所以a.=2m-1,所以S.=n1+2n-1》=n.2(2)证明:由1)得c,=3为(n+1)2则+1=30+1+Cn233”==号m=+-+- <当m≥2时,≤中61≤0.(≥2,当且仅多n=2时等号成主.所以工.<++0,+,++<+++()c++()c:33号+.91-3=3+1-()]<号<号< p>当m≥2时,≤中61≤0.(≥2,当且仅多n=2时等号成主.所以工.<++0,+,++<+++()c++()c:33号+.91-3=3+1-()]<号<号<>
