2022-2023高一学生双语报11期b2答案,目前学生双语报答案网已经整理了2022-2023高一学生双语报11期b2答案的各科答案和试卷,更多学生双语报答案请关注本网站。

【答案】C【解析】f(←x)=。,o二=-f心),∴f心x)为奇函数关于原点对称,排除B.f(x)有零点,排除A.0


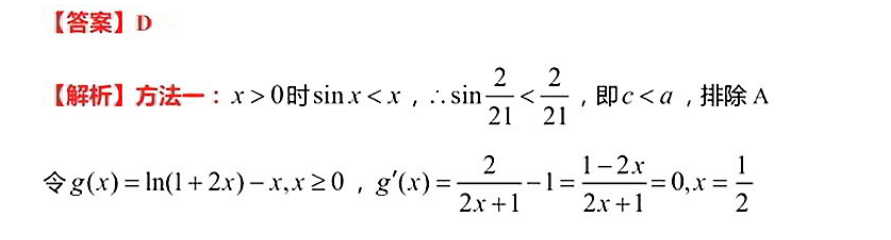
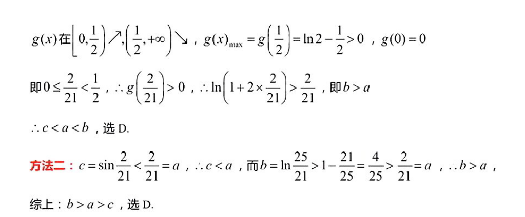
【答案】D22【解析】方法一:x>0时sinx
2022-2023高一学生双语报11期b2答案,目前学生双语报答案网已经整理了2022-2023高一学生双语报11期b2答案的各科答案和试卷,更多学生双语报答案请关注本网站。

【答案】C【解析】f(←x)=。,o二=-f心),∴f心x)为奇函数关于原点对称,排除B.f(x)有零点,排除A.0


【答案】D22【解析】方法一:x>0时sinx
本文地址: http://www.ncneedu.cn/post/6275.html
文章来源:admin
版权声明:除非特别标注,否则均为本站原创文章,转载时请以链接形式注明文章出处。
2023-04-05admin
2023-04-05admin
2023-04-05admin
2023-04-05admin
2023-04-05admin
2023-04-05admin
2023-02-24admin
2023-02-24admin
2023-02-24admin
2023-02-24admin
扫码二维码
获取最新动态
