2022-2023广东八年级学生双语报答案,目前学生双语报答案网已经整理了2022-2023广东八年级学生双语报答案的各科答案和试卷,更多学生双语报答案请关注本网站。

二1,【答案】A【解析】A项,判断不当。“传统个体经济的落伍”分析有误,根据“传统个体经济仍占据一定的地位”的信息可知,传统个体经济仍然是国民经济的补充,占据一定的地位。2.【答案】C【解析】C项,“也是告诉我们激活新个体经济创造力要扣住‘新'字做文章”分析错误,这是告诉我们新个体经济己经出现多种形态和表现形式。3.参考答案:国家层面:①引导整个社会打破思维定势和固有观念,正确认识新个体经济的就业形态。②从根本上改变管理模式,确保从业者的各项权益,激活新个体经济创造力。③建立法规,营造一个有利于新个体经济发展的环境。(每点1分,共3分)个人层面:①挖据新机遇、把握新风口,寻找新的增长点。②转变就业思维,打破陈旧观念和误解。③创新合作思维,用“1×”的合作思维取代“1+1>2”的合作思维。④不断学习相关知识,适应新业态环境。(每点1分,任选三点)




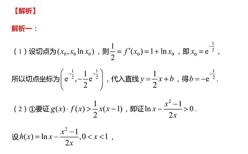
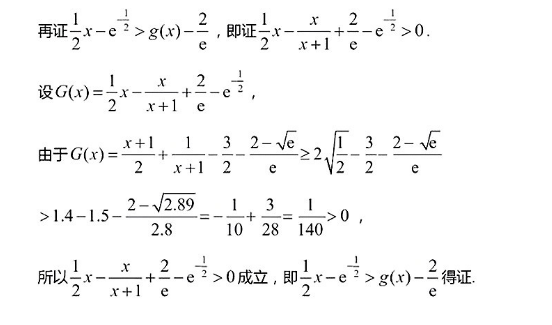
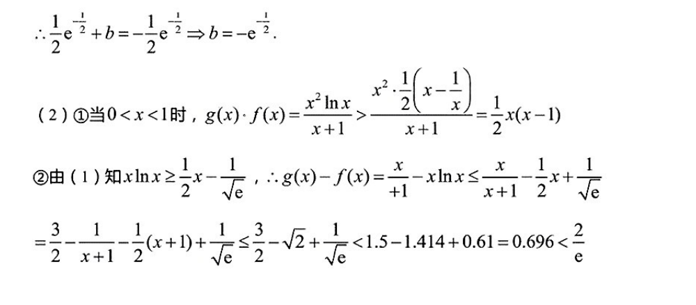
【解析】解析一:(1)设切点为(,血),则=fx,)=1+ln。,即=e子,闲烈点难指为-合)代入适碳r+6,得6=e上(2)@要证gf>)x-),即证n--0.22x设A=mx--10
