2022-2023学生双语报w七年级答案,目前学生双语报答案网已经整理了2022-2023学生双语报w七年级答案的各科答案和试卷,更多学生双语报答案请关注本网站。

15.(1)8m/s2(2)1.75s(3)t=2+5)s(1)物品在到达与传送带速度v4m/s相等前,由牛顿第二定律得F+umgcos37°-ngsin37°=ma1解得:a1=8m/s2(2)由v=得t=0.5s由×=2a1得x=1m得a2=0由牛顿第二定律得F-umgcos37°-mgsin37°=ma2即滑块匀速上滑,向上滑行位移为:x=Hsin370-¥=5m匀速时间为:专=生=1.25s总时间为:t+t=1.75s(3)在物品与传送带达到同速瞬间撤去恒力Fngsin37°-umgcos37°=ma3解得:a3=2m/s2假设物品向上匀减速到速度为零时,通过的位移为X,2=2a3X得Xe4m


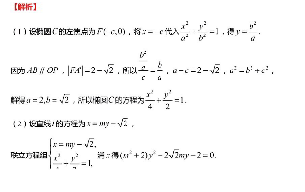
【解析】(1)设椭园C的左焦点为F(-c,0),将r=-c代入+=1,得y=6b2b2因为4B∥OP,F4=2-2,所以a=,a-c=2-反,d=6+c2,解得a=2,b=V5,所以椭圆C的方程为+上42(2)设直线/的方程为x=my-V2,x=my-2,联立方程组x2y2,消x得(m2+2)y2-2√2my-2=0+=1,设M(,y),N(,2),则y+=2√2m2m2+2m2+2所以kk,=少。乃。=出y2-2x2-2my,-2-V2my,-2-V2yy2m2yy-(2+V2)m(0y+⅓2)+(2+V2)22m2+2*5m6+445=5-(定值).6+422
