2022-2023学生双语报七年级听力音频答案,目前学生双语报答案网已经整理了2022-2023学生双语报七年级听力音频答案的各科答案和试卷,更多学生双语报答案请关注本网站。

16.【参考答案】(1)成都都市圈为“天府之国”之地,自然条件优越,文化底蕴丰厚;教育科技发达,产业基础雄厚,拥有四川乃至西部广阔的经济腹地:有国家政策的大力支持。(每点2分,任答3点得6分)(2)建设一条连接四个城市的环状高速铁路线;(2分)建设数条与环状高铁相交的由成都中心向四周放射状的高铁线路。(2分)(3)电子信息产业链的中下游企业多为简单制造和安装配置,需要充足的廉价劳动力。(2分)德眉资三城市经济发展水平较低,科技人才不多,但劳动力资源丰富且工资水平较低,这三城市集中布局于电子信息产业的中下游可以降低生产成本,获得竞争优势。(3分)【解析】第(1)题,从自然条件、文化传承、科技、产业、政策等方面分析成都都市圈建设与发展的区位优势。第(2)题,从交通应纵横交织的原理出发,就高速铁路的布局提出建议。第(3)题,从不同工业指向型布局特点入手,阐释德眉资三城市适宜布局电子信息产业链的中下游企业的合理性。


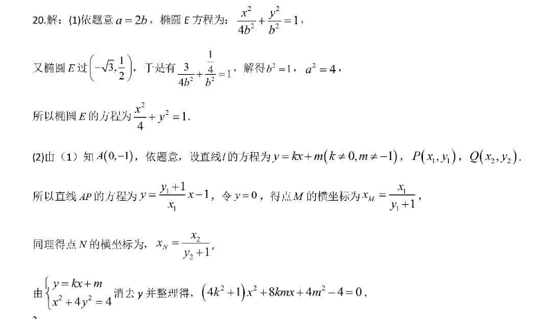
20.解:(1)依题意a=2b,椭圆E方程为:1乃3.2一7又u6(码引T有吉活r4所以6的方为手少1.(2)山(1)知A(0,-1),依题意,设直线的方程为y=+m(k≠0,m≠-1),P(x,片),Q(x2,2)所以直线P的方程为y=+x-1,令y=0,行点M的横坐标为=方X+11同理得点N的横坐标为,xv=互+1y=kxc+mx2+4y2=4消去y并整圳得,(42+)x2+8x+4m2-4=0,4=6-4〔+训er-4小少0.即r<41,则+=4m2-44k2+1XX2XX3因此.xwv一O1+10+可+m++m+灯产+k(n+(+)+(m+旷4m2-44k2+1=2,即(m-=2,解得m=3.to+器ra+m+1故直线1的方程为y=+3,所以直线1过定点(0,3).
