
36-40 CDFAG

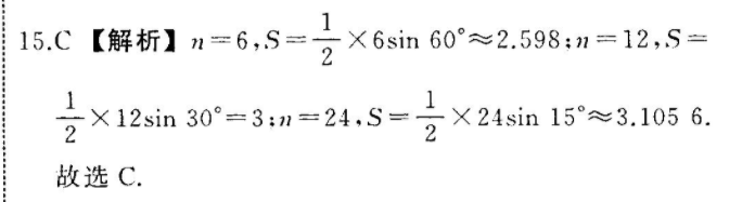
15C【解析】n=6,S16sin60°≈2.598:n=12,S=×12sin30°=3:n=24,S=×24sin15°≈3.1056故选C
以上就是英语周报高三(HG )第22期答案,更多英语周报答案请关注本网站。
本文地址: http://www.ncneedu.cn/post/3677.html
文章来源:admin
版权声明:除非特别标注,否则均为本站原创文章,转载时请以链接形式注明文章出处。
2023-04-05admin
2023-04-05admin
2023-04-05admin
2023-04-05admin
2023-04-05admin
2023-04-05admin
2023-02-24admin
2023-02-24admin
2023-02-24admin
2023-02-24admin
扫码二维码
获取最新动态
