2022-2023七年级下册学生双语报答案,目前学生双语报答案网已经整理了2022-2023七年级下册学生双语报答案的各科答案和试卷,更多学生双语报答案请关注本网站。


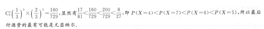
11.1654年,法国贵族德·梅雷骑士偶遇数学家布莱兹·帕斯卡,在闲聊时梅雷谈了最近遇到的一件事:某天在一酒吧中,肖恩和尤瑟纳尔两人进行角力比赛,约定胜者可以喝杯酒,当肖恩赢20局且尤瑟纳尔赢得40局时他们发现桌子上还剩最后一杯酒.此时酒吧老板和伙计提议两人中先胜四局的可以喝最后那杯酒,如果四局、五局、六局、七局后可以决出胜负,那么分别由肖恩、尤瑟纳尔、酒吧伙计和酒吧老板付费,梅雷由于接到命令需要觐见国王,没有等到比赛结束就匆匆离开了酒馆.请利用数学知识做出合理假设,猜测最后付酒资的最有可能是A.肖恩B.尤瑟纳尔C.酒吧伙计D.酒吧老板【答案】B201【解析】由题意得,肖思每局获胜的概率为0十403,尤瑟纳尔每局获胜的概率为000子,先胜四场比赛线束就是比赛来用七局四胜制,设决出胜负的场数为X,于是得P(X=4)=C(兮)+C(爱)'-7,P(X=5)=c()×号+c()×-骗-px-)=c(附)×()+c()^×()广-200729,P(X=7)=C(附)广×()-8显然布品<8器中PX=4

17.(10分)某农业大学的学生利用专业技能指导葡萄种植大户,对葡萄实施科学化、精个频率细化管理,使得葡萄产量有较大提高.葡萄采摘后去掉残次品,随机按每10组距2.0串装箱,现从中随机抽收5箱,称得每串葡萄的质量(单位:kg),将称量结果分成5组:[1.0,1.2),[1.2,1.4),[1.4,1.6),[1.6,1.8),[1.8,2.0],并绘制出如图所示的频率分布直方图.Q(1)求a的值;0.4(2)若从这批葡萄中随机抽取一串,其质量在[1.0,1.4)内的概率不超过0.30,且这批葡萄每串葡萄质量的平均值估计不低于1.5kg,则认为“学生1.01.21.41.61.82.0质量/kg指导起到一定作用”,否则认为“学生指导没有起到作用”,请判断学生的指导是否起到作用,并说明理由(残次品除外,将频率看作概率,同一组中的数据以该组区间的中点值为代表).解:(1)由频率分布直方图可知,0.2×(0.4十1.0十2a十2.0)=1,解得a=0.8.(2)从这批葡萄中随机抽取一串,其质量在[1.0,1.4)内的频率为0.2×(0.4十1.0)=0.28,所以从这批葡萄中随机抽取一串,其质量在[1.0,1.4)内的概率P=0.28<0.30.这批葡萄每串葡萄质量的平均值估计为x=1.1×0.4×0.2+1.3×1.0×0.2+1.5×2.0×0.2+1.7×0.8×0.2+1.9×0.8×0.2=1.524>1.5,故这批葡萄同时满足题目中的两个条件,所以认为“学生指导起到一定作用”.
