

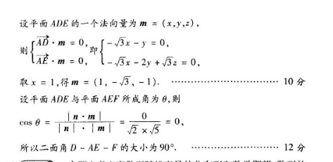
18什么◎命题人考查线线垂直的判定,二面角的计算(1)∵B为AC的中点,且AD=DC,AC⊥BD问理AC⊥FB,又FB∩BD=B,AC⊥平面BDEFEDC平面BDEF,AC⊥ED……………(2)∵AC⊥平面BDEF,AC⊥FB,又BD⊥FB,AC∩BD=B,FB⊥平面ABD,则BA,BD,BF两两垂直,建立如图所示的空间直角坐标系设AD=2,∠ADC=120°,AD=DCBD=1,AC=23.FA= FC =2BF . BF= AB=3.A(3,0,0),B(0,0,0),D(0,-1,0),F(0,0,3)2DB= EF, DB/EF, : E(0,-2, 3)=(-3,-1,0),=(-3,0,3),E=(0,2,0),A=(-35,-2,3)8分设平面AEF的一个法向量为n=(x,y,z),0,-3x+3:=0EF取x=1,得n=(1,0,1)设平面ADE的一个法向量为m=(x,y,z),43x-y=0即LAE.4x-2y+3z=0,取x=1,得m=(1,-3,-1)………10分设平面ADE与平面AEF所成角为6,则0V2 x,5所以二面角D-AE一F的大小为90°.……12分


第三节书面表达(满分25分One possible versionDear Lucy,I am Li Hua, chairman of the Students'Union. I am writing here to extend our sinceregratitude to youDuring the COVID-19 pandemic last year, you were trapped in your country and couldntreturn to our school. However, it was lucky that you used the Internet to give lessons. All thestudents said that you put your heart into making the lessons interesting. As a consequence.though you were still in England, we had no trouble in continuing new lessons this term, whichmade us so proud of being taught by youLooking forward to your early returnLi Hua
以上就是2022-2022年英语周报高一课标第50期答案,更多英语周报答案请关注本网站。
本文地址: http://www.ncneedu.cn/post/23265.html
文章来源:admin
版权声明:除非特别标注,否则均为本站原创文章,转载时请以链接形式注明文章出处。
2023-04-05admin
2023-04-05admin
2023-04-05admin
2023-04-05admin
2023-04-05admin
2023-04-05admin
2023-02-24admin
2023-02-24admin
2023-02-24admin
2023-02-24admin
扫码二维码
获取最新动态
