2022-2023学生双语报2013答案,目前学生双语报答案网已经整理了2022-2023学生双语报2013答案的各科答案和试卷,更多学生双语报答案请关注本网站。



22.(本小题满分12分)(1)解:由题意,函数(x)=xnx-ax+1,可得∫(x)=lnx+1-a,…1分令∫'(x)=0,解得x=e1令f'(x)>0,可得x>e-',令f'(x)<0,可得0
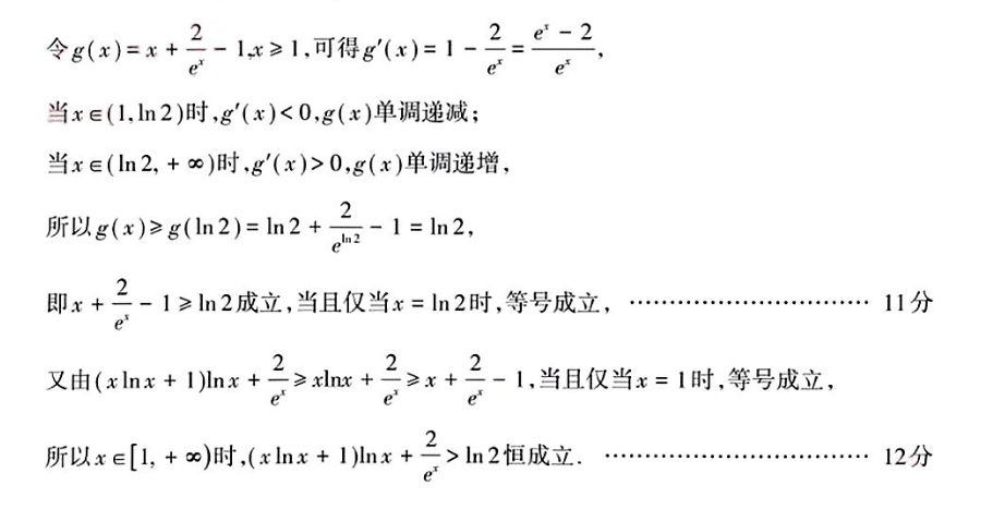
0,.f(x)没有零点.…5分(2)证明:当a=1时,f(x)=xlnx-x+1,x>0,可得f'(x)=lnx,当x∈(0,1)时,∫'(x)<0,∫(x)单调递减;当x∈(1,+∞)时,f'(x)>0,f(x)单调递增,所以f(x)≥f1)=0,即xlnx+1≥x,·7分即当x>0时,xlnx+1≥x恒成立,因为x≥1,所以lnx≥0,(hx+1h+2≥x+之≥+2-1,当且仅当x=1时,等号成立,…9分令g(x)=x+2-1x≥1,可得g()=1-2=。-2ee令g(x)=x+2-1x≥1,可得g(x)=1-2=。2当x∈(1,ln2)时,g'(x)<0,g(x)单调递减;当x∈(ln2,+∞)时,g(x)>0,g(x)单调递增,所以g户gh2)=hn2+名-1=n2,+二-1≥n2成立,当且仅当x=n2时,等号…11分又由(xnx+1hx+己≥x+2≥x+2-1,当且仅当=1时,等号成立,2所以xe[l,+∞)时,(xlnx+1)lnx+二>ln2恒成立.12分

【答案】B1-13.6【解析】这些光中波长最长的光,频率最小,能量最小,对应的光子能量为一0.85eV一(1.51eV)=0.66eV,A错误;这些光中频率最高的光对应的光子能量为一0.85eV一(13.6eV)=12.75eV,B正确;用这些光照射逸出功为3.20eV的钙金属表面,能照射出光电子的光最多有3种,C错误;用这些光照射逸出功为3.20eV的钙金属表面,逸出光电子的最大初动能为Ek=hy-W。=12.75eV-3.20eV=9.55eV,D错误。