

13.5【必备知识】本题考查的知识是“掌握数量积的坐标表达式,会进行平面向量数量积的运算关键能力】本题考查运算求解能力【解析】解法※由题意知CE=CM=1,则·B=(M+CE(B+=·B+·+C·B+C·C=2+0+0+3=5.解法二以A为坐标原点,AB,D6的方向分别为x,y轴的正方向,建立平面直角坐标系,则D(0,2),B(3,0),E(2,2),M(3,1),则ME=(-1,1),BD=(-3,2),所以ME·BD=(-1,1)·(-3,2)=5



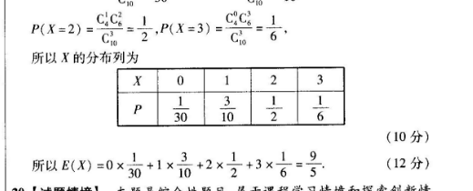
19.【试題情境】本题是应用性题目,属于生活实践情境【关键能力】本题考查数学建模能力、运算求解能力【学科素养】试题以石墨烯单晶圆为背景设题,需要考生根据题意提取有效数据,并进行整理,进而建立数学模型,利用所学的概率与统计的知识解决实际问题,突出考查理性思维、数学应用等学科素养【解题思路】(1)根据题中的数据填写表格,并利用公式求得K的值,然后与临界值表进行比较,从而得到结论;(2)先根据分层抽样确定各等级抽出的产品数量,然后得到X的所有可能取值以及其对应的慨率,从而得到分市列,最后利用公式得到数学期望解:(1)补充2×2列联表如下:合格不合格A生产线B生产线32(3分)10×9-9×32)2WK(a+b)(c+d)(a+c)(6+d)3.99419×4l×42×18(5分)由于3.994>3.841,故有95%的把握认为产品是否合格与生产线有关(2)用分层抽样的方法,从样本中优秀、良好、不合格三个等级的产品中抽取10件进行详细检测,则优秀等级的产品有10××=1(件),良好等级的产品有10×36=6(件),不合格等级的产品有10×18=3(件),故X的可能取值有0,1,2,3.(8分)CAC6 3则P(X=0)=c=30,P(x=1)=cp=10P(X=2)=c=2,P(x=3)=C6P(x=2)=C.CCC2,P(X=3)所以X的分布列为0H日(10分)所以E(x)=0×+1×1+2×++3×k=(12分)
以上就是英语周报八年级2018年到二零一九三十答案,更多英语周报答案请关注本网站。
本文地址: http://www.ncneedu.cn/post/21773.html
文章来源:admin
版权声明:除非特别标注,否则均为本站原创文章,转载时请以链接形式注明文章出处。
2023-04-05admin
2023-04-05admin
2023-04-05admin
2023-04-05admin
2023-04-05admin
2023-04-05admin
2023-02-24admin
2023-02-24admin
2023-02-24admin
2023-02-24admin
扫码二维码
获取最新动态
