

12.BC【关键能力】本题考查空间想象能力、逻辑思维能力【学科素养】试题以直四棱柱为背景,要求考生根据平面的特征判断截面的形状,再利用相关要素的位置关系和数量关系得到截面的特征,突出考查理性思维、数学探索学科素养解题思路】先延长EF分别与DA,DC的延长线交于点P,Q,连接D1P,交A1于点M,连接D1Q,交CC1于点N,连接ME,NF,即可得到截面D1MEFN,从而判断A选项;再利用直四棱柱的棱长和结构特征得到截面的各边长,利用分割法求得截面面积,从而判断B选项;利用体积公式和割补法求体积,从而判断C选项;最后利用点B,A,A1的位置关系求距离之比,从而判断D选项解析】如图,延长EF分别与DA,DC的延长线交于点P,Q,连接D1P,交AA1于点M,连接D1Q交CC1于点N,连接ME,NF,则平面α截直四棱柱ABCD-A1B1C1D1所得截面为五边形D1MEFN,故A错误;由平行线分线段成比例可得,AP=BF=1故DP=DD1=3,则△DDP为等腰直角三角形,由相似三角形可知AM=AP=1,故A1M=2,则D1M=DN=22,ME=EF=FN=2,连接MN,易知MN=22,因此五边形D1MEFN可以分成等边三角形D,MN和等腰梯形MFN等腰梯形MEFN的高=(2-(22y②则腰梯形MN的面积为212,又5m}x点则等腰梯形MN的面积为22x=32,又sm=1x22×√6=23,所以五边形 D, MEFM的面积为2+故B正确;记平面a将直四棱柱分割成的上、下两部分的体积分别为v1,V2,则Y2=V三棱锥DBQ-V三棱植AE-V3×3×3x1×1×11×1×1=÷,所以V1=Vv=12-6=6,则v:=47:25,C正确;因为平面a过线段AB的中点E,所以点A到平面a的距离与点B到平面a的距离相等,由平面a过A1A的三等分点M可知,点A1到平面a的距离是点A到平面a的距离的2倍,因此点A1到平面a的距离是点B到平面α的距离的2倍,故D错误方法技巧作截面的三种常用方法一是直接法,解题关键是利用截面的定点在几何体的棱上二是作平行线法,解题的关键是利用截面与几何体的两个平行平面相交,或者截面上有一条直线与几何体的某一个面平行三是延长交线得交点,解题的关键是利用截面上的点中至少有两个点在几何体的同一个面上,如本题




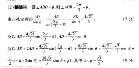
17.【试題情境】本题是基础性題目,属于课程学习情境,具体是数学运算学习情境【关键能力】本题考查运算求解能力【解題思路】(1)选条件①,先根据条件求出∠C,再利用同角三角函数的基本关系式求出sin∠BDC,然后利用三角形内角和定理与两角和的正弦公式求出sin∠CBD,最后利用正弦定理求出BD的长;选条件②,先根据条件求出∠C,再根据BD=当BC设元,利用余弦定理列方程即可得解;选条件③,先根据条件求出∠C,再利用三角形的面积公式求出BC的长,最后利用余弦定理求出BD的长,(2)利用正弦定理将边化为角,利用三角函数的性质即可求解;或者利用余弦定理建立AB和AD的等量关系,然后利用基本不等式求解解:(1)方案一:选条件①因为在平面四边形ABCD中,∠A=可,∠ABC+∠ADC=m,所以∠C=(1分)由cos∠BDC=2,得sin∠BDC=(2分)sin∠CBD=sin(2+∠BDC)=(3分)根据正弦定理得Cn=EBD,所以BD=CD·如mC2xin∠CBDa1=2(5分)方案二:选条件②因为在平面四边形ABCD中,∠A=,∠ABC+∠ADC=m,所以∠C=(1分)设BC=2x(x>0),则BD=7x,由余弦定理得BD2=BC2+CD2-2BC· COcos c,(3分)即7x2=4x2+4+4x,得x=2或x=-(舍去),所以BD=27(5分)方案三:选条件③因为在平面四边形ABCD中,∠A=,∠ABC+∠ADC=丌,所以∠C=由题意得S=CD. BCsin c=2BC=23解得BC=4(3分)由余弦定理可得BD2=BC2+CD2-2BC· COcos C=42+22-2×4x2×(-)=28所以BD=27(5分)(2)解法一设∠ABD=6,则∠ADB==-6,AB由正弦定理得BD421(7分)A 30)4/2所以AB=3in(3-6),AD=3sin,所以AB+2AD=421m26)+8/21sIn 6=cos 8+31am6+2sin8)=2383-sn(6+φ),其中an=5(9分)所以当sn(0+)=1时,4B+24D取到最大值,且最大值为2(10分)解法杰在△ABD中,设AB=m,AD=n,m>0,n>0由余弦定理得BD2=AB2+AD2-2AB· ADCos A,因此(m+2n)2<0分(n+2),则(m+20)(m+2/。分)即m2+n2-mn=28,则(m+2n)2=28+n(5m+3n)由基本不等式可知7n(5m+3n)≤(2(9分)所以m+2n≤5383,当且仅当5m时取等号所以AB+2D的最大值为8(10分)
以上就是英语周报七年级新目标第33期2021-2022。答案,更多英语周报答案请关注本网站。
本文地址: http://www.ncneedu.cn/post/21769.html
文章来源:admin
版权声明:除非特别标注,否则均为本站原创文章,转载时请以链接形式注明文章出处。
2023-04-05admin
2023-04-05admin
2023-04-05admin
2023-04-05admin
2023-04-05admin
2023-04-05admin
2023-02-24admin
2023-02-24admin
2023-02-24admin
2023-02-24admin
扫码二维码
获取最新动态
