
38.[生物——选修3:现代生物科技专题](1)卵母细胞的采集、精子的获取和受精(2分)促性腺激素(2分)显微注射法(2分)(2)减数第二次分裂中(或MⅡ中)(1分)低(1分)胚胎干细胞分化程度低,恢复其全能性相对更容易(2分)(3)早期胚胎培养(2分)分割(1分)(4)充分发挥雌性优良个体的繁殖潜力(2分)解析:分析题图可知,图中过程①表示受精作用;过程②表示利用显微注射法导入目的基因,过程③表示早期胚胎培养,过程④表示从囊胚中获取胚胎干细胞,过程⑤表示细胞核移植。(1)体外受精时,人工采集的精子必须经过获能处理才能完成受精作用;过程②表示将目的基因导入受体细胞,由于受体细胞是动物细胞,故常用方法是显微注射技术。(2)过程⑤表示动物体细胞核移植,故甲应为处于减数第二次分裂中期的去核卵母细胞。胚胎干细胞分化程度低,恢复其全能性相对更容易,故胚胎干细胞核移植的成功率要比体细胞核移植的成功率更髙。(3)重组细胞需要通过早期胚胎培养技术培养到囊胚或桑椹胚阶段才能进行移植。为获得更多的转基因鼠,可在胚胎移植前对胚胎进行分割(4)胚胎移植的优势是可以充分发挥雌性优良个体的繁殖澘力。


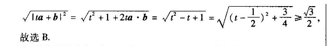
6.B【试题情境】本题是综合性题目,属于探索创新情境,具体是数学探究情境【关键能力】本题考查逻辑思维能力、运算求解能力【解题思路】1a-b1+23a.b=0,1a-b1=-2a,b两边平方a2-2a·b+b2=12(a·b)2→(2a·b+1)(3a·b-1)=0-a·b=或a·ba-b|=-23b→1ta+bl=√1a+bF-√(-1)2+【解析】由a-b1+23a·b=0,得|a-b=-23a·b,两边平方得a2-2a·b+b2=12(a·b)2,即12(a·b)2+2a·b-2=0,整理得(2ab+1)(3a·b-1)=0,所以a·b=-1或a,b3因为a-b=23a·b≥0,所以a·b≤0,所以a·b=,所以|a+b|=√a+b2=√2+1+2a·b=√t2-t+1=/(t故选B
以上就是英语周报2018-2022学年高一课标版38期参考答案,更多英语周报答案请关注本网站。
本文地址: http://www.ncneedu.cn/post/21718.html
文章来源:admin
版权声明:除非特别标注,否则均为本站原创文章,转载时请以链接形式注明文章出处。
2023-04-05admin
2023-04-05admin
2023-04-05admin
2023-04-05admin
2023-04-05admin
2023-04-05admin
2023-02-24admin
2023-02-24admin
2023-02-24admin
2023-02-24admin
扫码二维码
获取最新动态
