


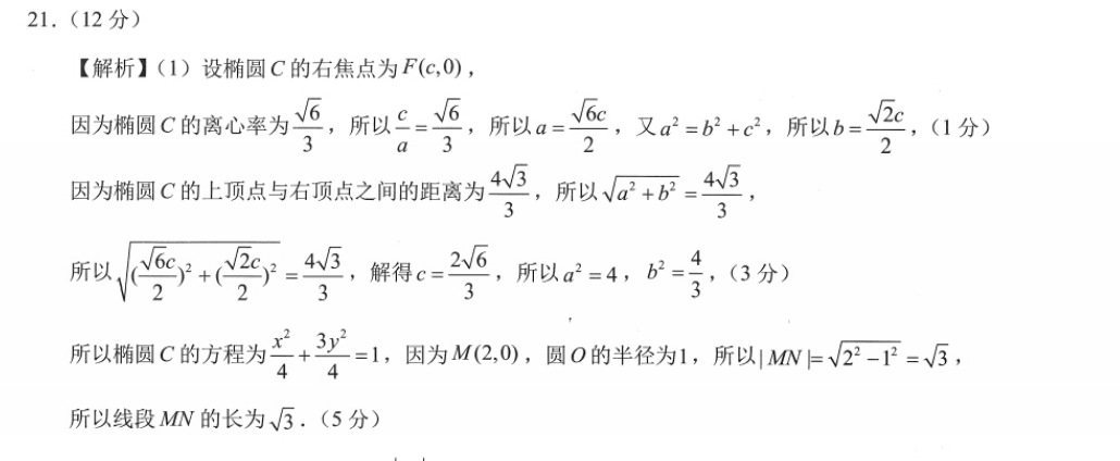
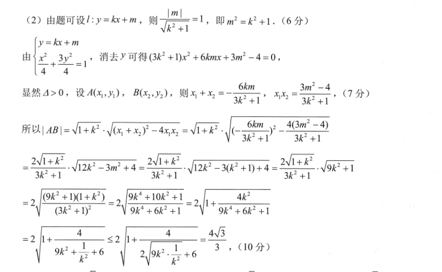
21.(12分)【解析】(1)设椭圆C的右焦点为F(c,0),因为椭圆C的离心率为,所以C=0,所以a=、6c,又a2=b+c,所以h、2c,(1分)因为椭圆C的上顶点与右顶点之间的距离为43,所以a+b2=45,3所以、(4=45,解得。,所以=4,62=,(3分)所以椭圆C的方程为1,因为M(2,0),圆O的半径为1,所以MN√2-12=√3所以线段MN的长为√3.(5分)(2)由题可设1:=+m,则-m1,即m2=k2+1.(6分)由{x23消去y可得(3k2+1)x2+6kmx+3m2-4=0显然4>0,设A(x,y),B(x2,y2),则x+x23k+1·=数kn2-4(7分)3k2+1所以|AB√(x+x)2-4x2=√+k26km4(3m2-4)3k2+13k2+12y1+k12k2-3m2+4=2√1+k12k2-3(k2+1)+42√1+k3k2+13k2+1=2(9+1u+k(3k2+1)=2|1+≤21+62,9k242+63,(10分)当且仅当k=士时取等号,此时m=2+1=233,所以|AB|的最大值为4√3,(11分)√32直线l的方程为y=33x+203或y33y2小3或y2(12分)3

4对的如真的最地斗不B)A0进入吃形易有一比公煲细面声种P试平滑积师
以上就是2021-2022英语周报九年级外研版第29期答案,更多英语周报答案请关注本网站。
本文地址: http://www.ncneedu.cn/post/21609.html
文章来源:admin
版权声明:除非特别标注,否则均为本站原创文章,转载时请以链接形式注明文章出处。
2023-04-05admin
2023-04-05admin
2023-04-05admin
2023-04-05admin
2023-04-05admin
2023-04-05admin
2023-02-24admin
2023-02-24admin
2023-02-24admin
2023-02-24admin
扫码二维码
获取最新动态
