

33,(15分)(1)(5分)答案:CDE命题立意:固体、液体与气体的性质答案解析:金刚石、食盐、天然水晶都是晶体,玻璃是非晶体,故A错误;布朗运动的剧烈程度与悬浮颗粒的大小和温度有关,颗粒越大,分子碰撞的不平衡性越不明显温度越高,布朗运动越明显,故B倍误荷叶表面的水珠现球形,是由于水对荷叶不没制在表面张力的作用下形成的,故正确;给装在钢筒中的油施加很大的压强,有油从筒壁上渗出,说明固体分子间有间隙,故D正确:从微观角度来看,气体压强的大小跟气体分子的平均动能以及分子的集程度有关,分子平均动能越大,密集,气体压强越大,故E正确/故选CP(2)(10分)答案:①420K(5分)②245(5分)命题立意:气体实验定律答案解析:①气缸缓慢降温,气缸内的压强恒p=P+=1.4×10°Pa(2分)对气缸内气体,由盖一吕萨克定律可得2分可得缸内气体初始温度为T1=420K(1分)②外界对缸内气体做功W=pS(h一h)(2分)由热力学第一定律△U=Q-W可得缸内气体放出的热量为Q=245(2分)


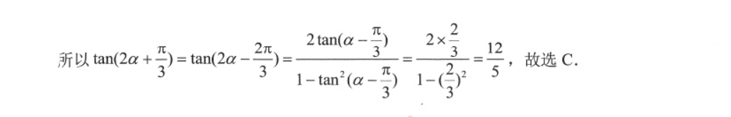
8.C【解析】因为y3(3+2ana=1,所以33+2√3tana=3tana-2,3 tan a即3(aa-3)=2(+mo),的、tana=321+√3tana3,所以tan(a--)=,2 tan(a2×12所以tan(2a+)=tan(2aI-tan(a25’故选C
以上就是2021-2022英语周报高一课标/外研第25期答案,更多英语周报答案请关注本网站。
本文地址: http://www.ncneedu.cn/post/21607.html
文章来源:admin
版权声明:除非特别标注,否则均为本站原创文章,转载时请以链接形式注明文章出处。
2023-04-05admin
2023-04-05admin
2023-04-05admin
2023-04-05admin
2023-04-05admin
2023-04-05admin
2023-02-24admin
2023-02-24admin
2023-02-24admin
2023-02-24admin
扫码二维码
获取最新动态
