2022-2023学生双语报怎么开通会员答案,目前学生双语报答案网已经整理了2022-2023学生双语报怎么开通会员答案的各科答案和试卷,更多学生双语报答案请关注本网站。


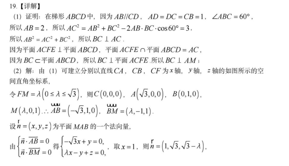
19.【详解】(1)证明:在梯形ABCD中,因为AB/CD,AD=DC=CB=1,∠ABC=60°,所以AB=2,所以AC2=AB2+BC2-2AB.BC·COS60°=3,所以AB2=AC2+BC2,所以BC⊥AC.因为平面ACFE⊥平面ABCD,平面ACFE∩平面ABCD=AC,因为BCC平面ABCD,所以BC⊥平面ACFE.所以BC⊥AM;(2)解:由(1)可建立分别以直线CA,CB,CF为x轴,y轴,z轴的如图所示的空间直角坐标系,令FM=0≤A≤5,则C(00,0),AV5,00,B(0,10),M(0,1)AB=(5,10,Bi=(A,-11)设n=(x,y,z)为平面MAB的一个法向量,AB=0由得一5x+y=0,取x=l,则万=,55-A小n.BM=0Ax-y+=0,m=(1,0,0)是平面FCB的一个法向量,n…m而阿+3+5-1-可+405As5,当A=V5时,0s9有最大值子,9的最小值为写

27.(11分)(1)运用商标权的有关知识,分析法院判决结果的依据。(6分)【参考答聚】代8,①商标法规定,商标注册人享有注册商标专用权,未经权利人许可,在同一种商品上使用与注册商标近似的商标的,容易导致混潘的,构成侵权:(3分)案涉商标尚在注册有效期限内,应当受到法律保护。(1分)②食品公司擅自在其经营的网购平台店铺中销售“安溪铁观音”商标的茶叶是对“安溪铁观音”商标的不合理使用,应当承担停止侵权、陪偿损失的民事责任,(2分)(2)在本案中,谁应当承担举证责任?为什么?(5分)【参考答策】的常团”明,林格合量9安溪茶叶办公室和食品公司都应承担举证责任。(1分)在民事诉讼中,双方当事人的平等地位决定了“谁主张,谁举证”的举证原则,法律规定当事人对自己提出的主张有责任提供证据。(2分)本聚中安溪茶叶办公室应就食品公司侵犯其商标权进行举证(1分),食品公司应对自己的抗辩主张进行举证(1分)。
