
4(1)×10(1分)120(1分)负接线柱(1分)(2)左端(1分)118.8(2分)大于(2分)(3)10(2分)【解析】(1)使用欧姆挡测量时指针偏角过大,则改换用小倍率,即选用“×10”。由图甲可知,读数为12.0×10=120a,多用电表的红表笔接表内电池的负极,测电流表内阻时,其红表笔应接电流表的负接线柱(2)开始时,应保证通过微安表的电流为零.故将滑动变阻器的滑片P移到最左端,当微安表的示数正好是满刻度的一时,由串联电路特点可知,微安表的内阻等于电阻箱阻值的2倍,即R。=118.80,微安表与电阻箱串联后的电阻大于微安表的电阻,故分得的总电压大于只有微安表时的电压,微安表与电阻箱再按照比例分配电压,可知微安表内阻的測量值大于其真实值。(3)设改装后量程扩大的倍数为n由IR=(n4-l)R得n=100,故原微安表100A的刻度线应标识的电流为100A×100=10mA

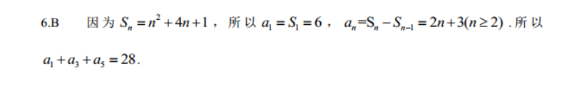
6B因为Sn=n2+4n+1,所以a=S1=6,an=Sn-Sn1=2n+3(mn≥2).所以+a2+a=28
以上就是英语周报2018-2022高二新课程答案,更多英语周报答案请关注本网站。
本文地址: http://www.ncneedu.cn/post/1974.html
文章来源:admin
版权声明:除非特别标注,否则均为本站原创文章,转载时请以链接形式注明文章出处。
2023-04-05admin
2023-04-05admin
2023-04-05admin
2023-04-05admin
2023-04-05admin
2023-04-05admin
2023-02-24admin
2023-02-24admin
2023-02-24admin
2023-02-24admin
扫码二维码
获取最新动态
