
15.2x-y-1=0;2【解析】由题意,y=3inx-x-1,所以y=3c0sx-1,k=y0=2,故切线方程为y-(-1)=2(x-0),即2x-y-1=0.设切线2x-y-1=0与y=x2+mx-1相切于点P(x0,y0),则有2x0-1=x+mx-1,3x0+m=2,解得x0=0,m=2


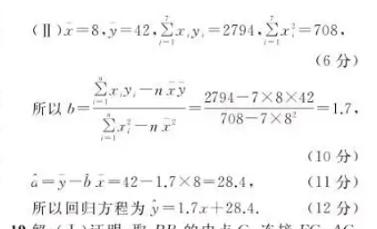
18解:(I)依题意从药用昆虫产卵数的7组数据中随机抽取2组,所有的情况为(19,32),(19,40),(19,44),(19,52),(19,53),(19.54)·(32.40)·(32,44)·(32,52),(32.53),(32,4),(4044),(40,52),(40,53),(40,54),(4452),(44,53),(44,54),(52,53),(52,54),(53,54),共21种(3分)其中事件“m,n均不是4的倍数”的情况有(19.53),(19,54),(53,54),共3种.(4分)所以事件“m,n均不是4的倍数”的概率为P3217(5分)(Ⅱ)x=8,y=42,∑x,y,=2794.∑x2=708,=1(6分)所以=y,-nxy2794-7×8×42708-7×8=1.7nT(10分)a=y-bx=42-1.7×8=28.4,(11分)所以回归方程为y=1.7x+28.4(12分)
以上就是2021-2022 英语周报 七年级 新目标 8'GDY答案,更多英语周报答案请关注本网站。
本文地址: http://www.ncneedu.cn/post/19249.html
文章来源:admin
版权声明:除非特别标注,否则均为本站原创文章,转载时请以链接形式注明文章出处。
2023-04-05admin
2023-04-05admin
2023-04-05admin
2023-04-05admin
2023-04-05admin
2023-04-05admin
2023-02-24admin
2023-02-24admin
2023-02-24admin
2023-02-24admin
扫码二维码
获取最新动态
