


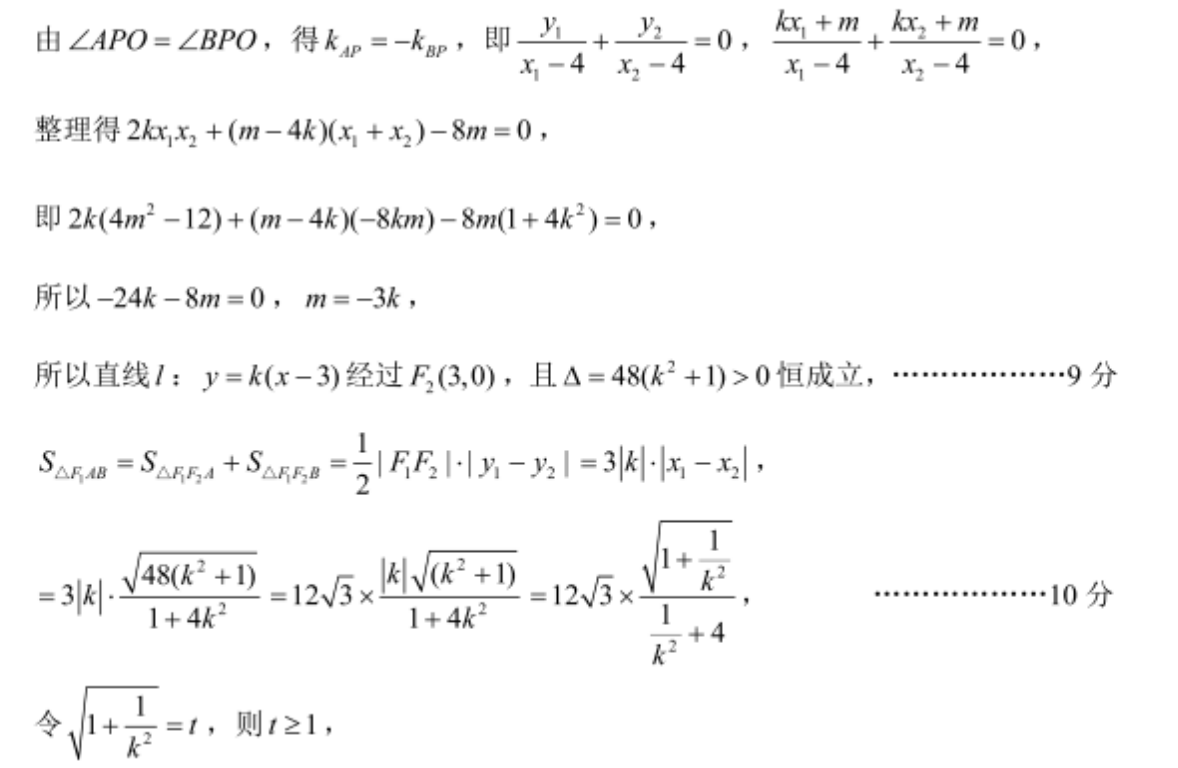
21.(1)设椭圆C的半焦距为c,bc=3由题,△MFF2面积最大值为be,则解得{b=√3,2a2=b2+c2所以椭圆方程为+=1…5分(2)设直线AB的方程为y=kx+m,A(x1,y),B(x2,y2),将y=kx+m代入x+2=1,得(1+4k2)x2+8kmx+4m2-12=0,…6分△=16(12k2-m2+3),由△>0得m2<12k2+3,8km412x1+x2Ir E7分1+4k1+4k2由∠APO=∠BPO,得k=-km,即一当+均=0,+m+知x +m0x1-44x1-4x2-4整理得2kx1x2+(m-4k)(x1+x2)-8m=0,即2k(4m2-12)+(m-4k)(-8km)-8m(+4k2)=0,所以-24k-8m=0,m=-3k,所以直线l:y=k(x-3)经过F2(3,0),且△=48(k2+1)>0恒成立,…………9分5△a=S4+S△两B=F男-y2=3x一x,1+4k2=123×v(k2+D1+48(k2+1)=12√3×k0分1+4k424令,+=1,则t≥1,所以SA=123×15125×()=6,……11分当且仅当r2=3时取等号,即1+,=3,k=±时,△FAB的面积取最大值为6……………………12分

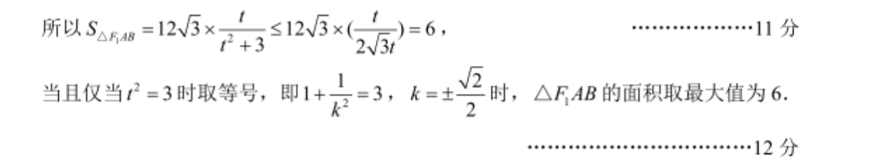
82-2【解析】由VM-A1与与=V4-A1B得SD·AA=3S△·A1,∴;SMm≈⊥50c,DE_6.CD_DE√6cE-3△cB,AB-3·‘AC-AB-3DC=,∴AD=1-9.在等边△ABC中,∠CAB=h=AD·sin⑤)×=3故3填
以上就是2018-2022 英语周报 高三 高考 54答案,更多英语周报答案请关注本网站。
本文地址: http://www.ncneedu.cn/post/1853.html
文章来源:admin
版权声明:除非特别标注,否则均为本站原创文章,转载时请以链接形式注明文章出处。
2023-04-05admin
2023-04-05admin
2023-04-05admin
2023-04-05admin
2023-04-05admin
2023-04-05admin
2023-02-24admin
2023-02-24admin
2023-02-24admin
2023-02-24admin
扫码二维码
获取最新动态
