
10.B【解析】设x2+2y2=m,则x2=m-2y2.因为x24xy-5y2=5,所以4xy=x2-5y2-5,则16x2y25y2-5)2,即16y2(m-2y2)=(m-5即8ly4-(30m-70)y2+(m-5)2=0.设y2=t,则81r2-(30m-70)t+(m-5)2=0,所以△=(30n70)2-4×81(m-5)2≥0,解得m≥,所以x2+2y23的最小值为2,故选B

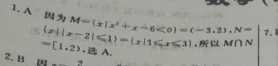
1.A因为M={x|x2+x-6<0}=(-3,2),N=(xx21≤1)={x1x≤3),所以Mn∥/1.2)2.B选A
以上就是英语周报八年级第三期2018到第2022答案,更多英语周报答案请关注本网站。
本文地址: http://www.ncneedu.cn/post/17830.html
文章来源:admin
版权声明:除非特别标注,否则均为本站原创文章,转载时请以链接形式注明文章出处。
2023-04-05admin
2023-04-05admin
2023-04-05admin
2023-04-05admin
2023-04-05admin
2023-04-05admin
2023-02-24admin
2023-02-24admin
2023-02-24admin
2023-02-24admin
扫码二维码
获取最新动态
