

语篇类型:说明文主题语境:人与白我·康知识—同伴影响饮食文章大意:研宛表明,与你一同遴食的同伴会影响你的饮食习慣,想要减肥的人应当避免同食量大的瘦人一起进食12D【命题意田】考查主旨大念【答案分析】通读全文可知,文章第一段为全文的主题段,即《消费者研究杂志》坡近的项研究表明,我们的饮食同伴的体型和饮食习惯都会影响我们的食物摄入量,而且要避免同食量大的瘦人一起进食。结合全文内容可知,本文主要介绍了饮食行为,故D项正确D【命题意图】考查词义猜测。答案分析】根据第一段第二句" And contrary to existing rescarch that saysyou should avoid eating with heavier people who order large portions (Aa)it's the beanpole with big appetites you really need to avoid"可知,研究表明,与现存的研究发现(应该避免和食量大的胖人一起吃饭)相反,你真正需要避开的是胃口大的又高又瘦的人。根据" contrary to"可知,画线词可 heavier people含义相反,故D项正确14.A【命意图】考查细节理解。【答案分析】根据第一段中的" To test the effect of orial influence on eatinghabits., the researchers conducted two experiments"可知,为了验证社交对饮食习惯的影响研究人员进行了两个实验;再结合下文介绍的两个实验可知聘用演员参加实验旨在查看演员对参加实验的人的饮食习惯的影响,故A项正确。15.c【命题意图】考查推理判断【答案分析】根据尾段中的" If this fellow participant is going to eat more,swill I.. because I see the results of his eating habits"可知,如果这个同伴打算吃得更多,我也会吃得更多;但是人吃了很多,我会稍微保留一点,因为我看到了他饮食习惯的结果。据此可以推知,我们对自己饮食的调整是以分析他人的饮食习惯和结果(即如何看待他人)为基础的,故C项正确。
C
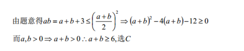
由题意得b=a+b+35{+=(a+b)=4a+b)-120而a,b>0→a+b>0∴a+b≥6,选C
以上就是2022八年级新目标英语周报答案第11期hny,更多英语周报答案请关注本网站。
本文地址: http://www.ncneedu.cn/post/17274.html
文章来源:admin
版权声明:除非特别标注,否则均为本站原创文章,转载时请以链接形式注明文章出处。
2023-04-05admin
2023-04-05admin
2023-04-05admin
2023-04-05admin
2023-04-05admin
2023-04-05admin
2023-02-24admin
2023-02-24admin
2023-02-24admin
2023-02-24admin
扫码二维码
获取最新动态
