2022-2023中学生的英语双语报答案,目前学生双语报答案网已经整理了2022-2023中学生的英语双语报答案的各科答案和试卷,更多学生双语报答案请关注本网站。



19.解析:(1)证明:取AD中点O,连接OP,OE,EA=ED且O是AD中点,.EO⊥AD,面PAD⊥面ABCD,交线是AD,EOC面ABCD.EO⊥面PAD,PAC面PAD.EO⊥PA,又,EOI BD.PALBD.0小………………3分且PA⊥PD,BDOPD=D.PA⊥面PBD·………5分(2).PO⊥底面ABCD.PB在底面ABCD内的射影是OB,∠PBO是线面角,连接0B,在AP0中,m∠a0品P0-D=2即5=2,0B=2W55 OB,EO⊥AD,BD∥EO,BD⊥AD在RIAOBD中,BD=V(25)2-22=4分别以DA,DB为x,y轴,过点D作OP的平行线为z轴,建立空间直角坐标系:则:P(2,0,2),A(4,0,0)D(0,0,0)C(-4,4,0)E(2,2,0)平面DAP的法向量m=(O,L,0)平面PCE的法向量=(,3,3)…10分m.n 3Cos<>=mn 19所以锐二面角的余弦值为3四19………”12分


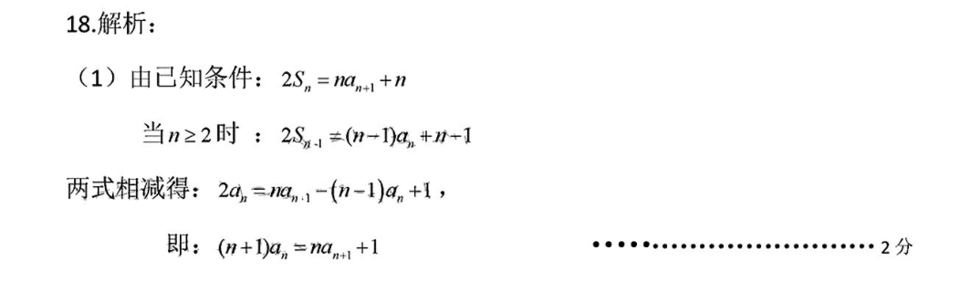
18.解析:(1)由已知条件:2Sn=an1+n当n≥2时:2Sm1≠(-I0a.++1两式相减得:2a4.=1a1-((m-1)4n+1,即:(n+1)an=nan+1+1左右同除n(n+1)得:=a1+1=9m1+1-1nn+1(n+1)n+1nn+1即:48,且9=10……5分nnn+1 n+l11所以数列凸-是首项为1,公差为的等差数列,即常数列nn:a1=1ya=n+1………6分nn(2)左边=1+123+3x年++ntD=2n<3Mn+)2n+1212分
