
23.解:(1)解:-b+ab+1)a+(b+1)1(2b+1a+b=2,当且仅当即a=2b时,-+1取得最小值3(2)证明:要证1+≥,由a>0,b>0,即证a2+b2≥2tb因为2·所以当且仅当a=b时,有+b2即a2+b2≥2,当且仅当u=b=1时,等号成立



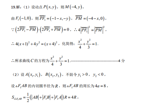
19解:(1)设动点P(x,y),则M(-4y),由F(-1.0),则PF=(-1-x,-y),PM=(-4-x,0)(两)(两+两)=0,∴4两=PM∴4(x+1)2+4y2=(x+4)2,化简得所求曲线C的方程为工+y(2)设A(x,y),B(x,y2),不妨令y>0,y2<0,设△F1AB的内切圆半径为R,则△F1AB的周长为4a=8E(AB+EB+FAR由此可知,当△F1AB的面积最大时,△F1AB的内切圆面积最大,可设直线n的方程为x=my+1,x=my+联立{,x2-1得:(3m+4)y+6m-9=0则S△FABFF2llb-y2V1V2令√m2+1=t,则m2=2-1(21)令∫(t)=3+(t21),则f()=3当1≥1时,f()>0恒成立,则f()=3+在[l,+)上单调递增,f()≥f(1)=4,即f()的最小值为410分∴S△ABS3,即当t=1时,SAB的面积最大为3,此时,△F1AB的内切圆的最大半径为R=所以,△FAB的内切圆的面积取得最大值为S=zR2=9z16故直线n的方程为x=1,△F1AB的内切圆的面积最大值为12分
以上就是2021-2022英语周报八年级深圳第33期答案,更多英语周报答案请关注本网站。
本文地址: http://www.ncneedu.cn/post/15774.html
文章来源:admin
版权声明:除非特别标注,否则均为本站原创文章,转载时请以链接形式注明文章出处。
2023-04-05admin
2023-04-05admin
2023-04-05admin
2023-04-05admin
2023-04-05admin
2023-04-05admin
2023-02-24admin
2023-02-24admin
2023-02-24admin
2023-02-24admin
扫码二维码
获取最新动态
