
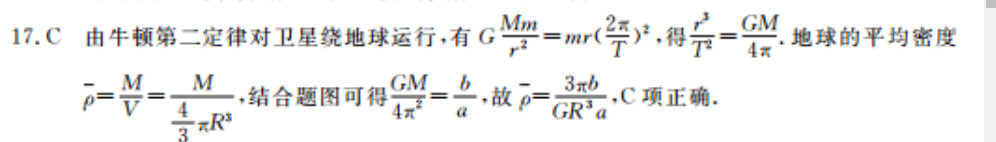
1c由牛顿第二定律对卫星绕地球运行,有G=mr(等y,得=CN地球的平均密度=v=m,结合题图可得4x=a,故p=aRa,C项正确

9.CA.由以上分析可知b极为电源负极,负极上发生失电子的氧化反应,故A错误;B.该装置为电解池,该装置把电能转化为化学能,故B错误;C.该装置是利用O-与氧化物结合生成酸根离子来吸收氧化物,所以利用该装置的原理,理论上也可用于捕获与转化硫氧化物、氮氧化物,故C正确;D.由CO2+02-=CO,CO+4e-=C+302-可知,若电源中有4mol电子转移,可以吸收二氧化碳1mol,由于气体二氧化碳存在的条件未知,不能确定体积,故D错误
以上就是 2021-2022英语周报高一课标第10期答案,更多英语周报答案请关注本网站。
本文地址: http://www.ncneedu.cn/post/15749.html
文章来源:admin
版权声明:除非特别标注,否则均为本站原创文章,转载时请以链接形式注明文章出处。
2023-04-05admin
2023-04-05admin
2023-04-05admin
2023-04-05admin
2023-04-05admin
2023-04-05admin
2023-02-24admin
2023-02-24admin
2023-02-24admin
2023-02-24admin
扫码二维码
获取最新动态
