
3.C【解析】“欲向”二句并无因果关系。词人想在梦中化为一只绕着梅花自由飞舞的蝴蝶,又怕梦中的梅花幽香难觅”。4.这两句的含意是,两三枝秀洁独出的梅花在苍碧的暮烟的衬托下显得十分醒目。(2分)词人抒发了对梅花的喜爱之情,(2分)进而借梅的秀洁独出以喻自己的孤不群,(2分)(意思相近即可得分)




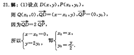
21.解:(1)设点D(x,y),P(x,y),则Q(x2,0),ab=(x-x,y),Q声=(0,y),因为b=2@声,=0所以即y=2yo,=2因为点P在椭圆C上,所以+=1,即为点D的轨迹方程,又因为点D轨迹是过点(0,2)的圆,所以4=1,解得/a=4,b2±1所以椭圆C的方程为x+y2=1(5分)(2)设直线AN的方程为y=k1x+1,直线AM的方程为y=k2x+1不妨设k1>0,则k2<0,+y2=1由y=k1x+1,得(1+4k)x2+8k1x=0,解得xN4k+1同理xM=~、8k2(7分)日因为M,O,N三点共线,则由xM+xN=4+14k+=0整理得(k1+k2)(4k1k2+1)=0,当k1+k2=0时,易得E(-4,3),F(4,3),S3×8=12,(8分)当k1·k2时令y=3得E(2,3),P(2,3)而yN=k1xN+1=4k+14k2+14k+1所以△ENF的面积S△E=2×EF×(3-y)2(2-2)(计++)一·+(10分)由kk2=一4得k2=-4k1则S△BP=过+1.16816k1+2≥8√2,当且仅当k=时取等号,所以△ENF的面积的最小值为8√2(12分)
以上就是2021-2022 英语周报 八年级 新目标实验 6答案,更多英语周报答案请关注本网站。
本文地址: http://www.ncneedu.cn/post/15537.html
文章来源:admin
版权声明:除非特别标注,否则均为本站原创文章,转载时请以链接形式注明文章出处。
2023-04-05admin
2023-04-05admin
2023-04-05admin
2023-04-05admin
2023-04-05admin
2023-04-05admin
2023-02-24admin
2023-02-24admin
2023-02-24admin
2023-02-24admin
扫码二维码
获取最新动态
