
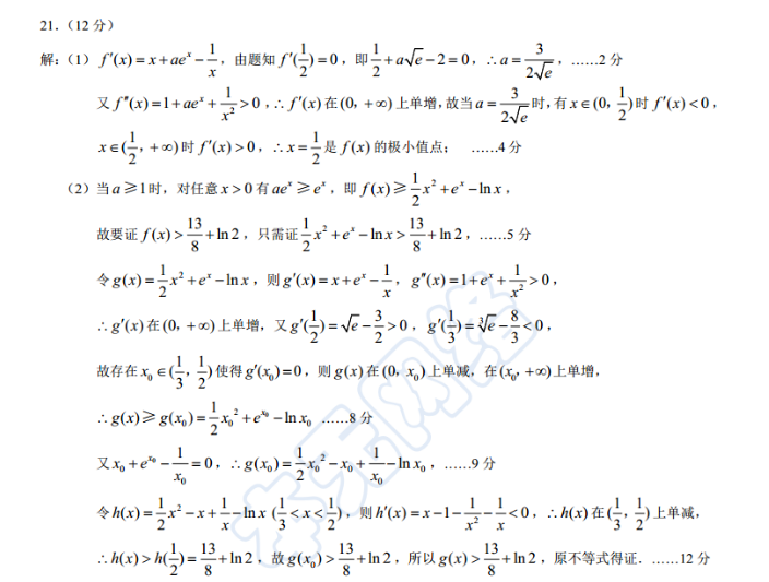
21.(12分)解:(1)f(x)=x+ae、由题知f()=0,即+ave-2=0.2分又f(x)=1+ae2+2>0,f(x)在O,+∞)上单增,故当a=P时,有x∈(0,)时f(x)<0x∈(,+∞)时f(x)>0,∴x=是f(x)的极小值点;(2)当a≥1时,对任意x>0有ae≥e,即f(x)≥x2+e2-hnx故要证f(x)>+ln2,只需证x+e-lnx>-+ln25分令g(x)=2x2+e2-mx,则g(x)=x+e-1,g(x)=1+e2+4>0g'(x)在(0,+∞)上单增,又g()=√-3>0,g()=v-8<0故存在x∈使得g(x)=0,则g(x)在(0,x)上单减,在(x+∞)上单增g(x)≥g(x)=x2+e-ln8分又=0,∴g(x0)==x2-x0

45.(15分)(1)(6分)原;寫城流动人口量大;传统户籍制度的不适应;京城駟民杂役负扫啦;尢籍流动人口响京城的稳定。(每点2分,任答三点即可)(2)(9分)措施:城乡户籍分治:致府中杂任杂岗位优先向无京籍身份的泸动人口开放。(一点2分,两点3分,言之成理可)影响:促使赋税制度改革:增口家财改收入:维护京城社会的稳定:为后世提供了借鉴。(一点2分,三点6分)
以上就是2018-2022英语书周报七年级答案,更多英语周报答案请关注本网站。
本文地址: http://www.ncneedu.cn/post/1486.html
文章来源:admin
版权声明:除非特别标注,否则均为本站原创文章,转载时请以链接形式注明文章出处。
2023-04-05admin
2023-04-05admin
2023-04-05admin
2023-04-05admin
2023-04-05admin
2023-04-05admin
2023-02-24admin
2023-02-24admin
2023-02-24admin
2023-02-24admin
扫码二维码
获取最新动态
