


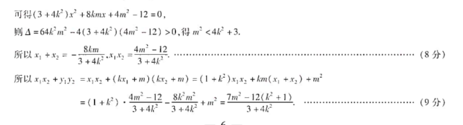
21.【命题意图】木题考查椭圆的性质以及应用,直线与椭圆的位置关系,定值问题【解析】(I)设椭C的半焦距为c.由已知可得2a=4,解得a=2……(1分)因为∠FAF2=60°易得在R△O4F2中,∠OAF2=30°,OA=b.1OF2|=cAF,|=a=2所以c0∠OAF=b=,解得b=.………(3分)所以椭圆C的方程为x,+)=1(Ⅱ)当直线MN的斜岸不存在时,MN⊥x轴to.O=0可得O前⊥o结合椭同的对称性,可设M(x,x),N(x,-x),则d=lxl1.………………………………(5分)将点M(x,x)代入椭园C的方程,得3=1,解得x=:2,所以4=22(6分)当直线MN的斜率存在时,设直线MN的方程为y=kx+m,此时点O到直线MN的距离d=+A2(7分√/1+kly设H(x,),M(x,2)山x2,y4可得(3+4k2)x2+8Amx+4m2-12=0则△=64k2m2-4(3+4k2)(4m2-12)>0,得m2<42+3.所以x+x=、8km………(8分)3+4kx÷4m2-123+4k所以x1x2+y1y2=x1x2+(kxr+m)(k:2+m)=(1+k2)x2x2+Am(x1+x2)+m2=(1+k2).47m2-12(k2+1)3+423+4k2…………(9分)3+4l又因为OM·ON=0,所以x1x2+y2=0,即2m-12(6+1)=0,解得m3=12(1+F)(10分)3+4k所以J2得d11分)综上所述,点O到直线MN的距离d是7,是定值……12分)

46.(15分)【中外历史人物评说】(1)背景:北宋社会危机加深;儒释道三教融合;儒学发展面临困境;宋初理学的兴起。(任答三点即可,共6分)(2)贡献:张载的思想对于宋明理学具有奠基性、开创性地位;通过对佛、道两家哲学观点的吸纳和批判,构建新的儒学体系;构建了人性论及与之相应的修养理论,以达到天人合一为最高境界。(每点3分,共9分)
以上就是英语周报2018-2022学年,第八期答案,更多英语周报答案请关注本网站。
本文地址: http://www.ncneedu.cn/post/14725.html
文章来源:admin
版权声明:除非特别标注,否则均为本站原创文章,转载时请以链接形式注明文章出处。
2023-04-05admin
2023-04-05admin
2023-04-05admin
2023-04-05admin
2023-04-05admin
2023-04-05admin
2023-02-24admin
2023-02-24admin
2023-02-24admin
2023-02-24admin
扫码二维码
获取最新动态
