

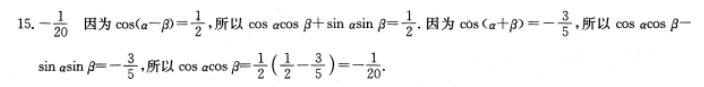
1.-2因为∞s--=,所以s计+ sin A=因为s(+B=-3,所以sasp=-3,所以saop=号(一)=2所以20=2m0a=2×告×3=28分2-2-1-2×(普)-1-,…10分所以如an2()12分25

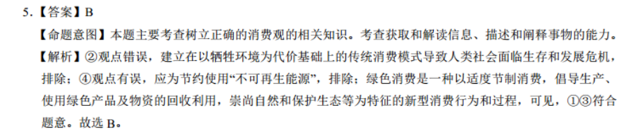
5.【答案】B【命题意图】本题主要考查树立正确的消费观的相关知识。考查获取和解读信息、描述和阐释事物的能力。【解析】②观点错误,建立在以牺牲环境为代价基础上的传统消费模式导致人类社会面临生存和发展危机,排除:④观点有误,应为节约使用“不可再生能源”,排除:绿色消费是一种以适度节制消费,倡导生产使用绿色产品及物资的回收利用,崇尚自然和保护生态等为特征的新型消费行为和过程,可见,①③符合题意。故选B。
以上就是2019-2022英语周报高二课标第44期答案,更多英语周报答案请关注本网站。
本文地址: http://www.ncneedu.cn/post/14700.html
文章来源:admin
版权声明:除非特别标注,否则均为本站原创文章,转载时请以链接形式注明文章出处。
2023-04-05admin
2023-04-05admin
2023-04-05admin
2023-04-05admin
2023-04-05admin
2023-04-05admin
2023-02-24admin
2023-02-24admin
2023-02-24admin
2023-02-24admin
扫码二维码
获取最新动态
