
1.参考答案:①美在村庄环境改善。②美在村民关系和谐。④美在村民文化生活丰富。1美在乡村敬老孝道等·治文亿建设(或乡村治珪体系建设)。(言之成理,怙绐分)5.参考答案:①)戥行绿水青山的生态文化。仇疰村注意改善乡村环境,头巷尾干整洁绿植嵬坦。②弘扬优秀传统治玒文化。仇主村成立了以“村贤”为主的村民亡讲团,发挥乡贤文化优势。③推进乡村教育和公共文化瑕务。仉庄村聘请传统文化专家,通过络平台提升乡民的文化水平。(言之成理,酌情给分



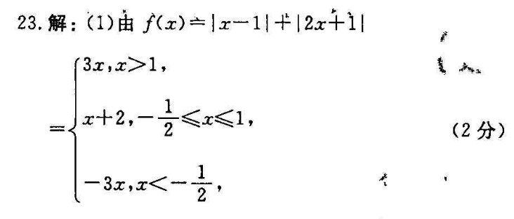
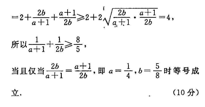
23解:(1)由f(x)=|x-1#|2x+13x,x>1六x2≤x≤2分)3x,x<2可知函数f(x)在区间(-∞,+∞)连续,且在区间上单调递减在1,1)上单调递增在区间(1,+∞)上单调递增所以当x2时,/(x)有最小值为Q5分)(2)由(1)可知a+2b=3,即a+1+2b=5,所以2(ax+2)=(a+1+2(a+)=1+2b+a+1+1a+12ba+12622+22b=2+2b+a+1十1+12b2=4,所以+1+≥5,a1=2b6,即a=4,b=8时等号成立(10分)
以上就是2022山西英语周报八年级新目标第49期答案,更多英语周报答案请关注本网站。
本文地址: http://www.ncneedu.cn/post/14046.html
文章来源:admin
版权声明:除非特别标注,否则均为本站原创文章,转载时请以链接形式注明文章出处。
2023-04-05admin
2023-04-05admin
2023-04-05admin
2023-04-05admin
2023-04-05admin
2023-04-05admin
2023-02-24admin
2023-02-24admin
2023-02-24admin
2023-02-24admin
扫码二维码
获取最新动态
