



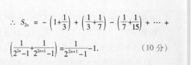
四、17.【命题意图】本题考查数列通项公式的求解、等比数列的通项公式与求和公式,考查转化与化归思想,体现了数学运算、逻辑推理等核心素养【解】(1)选条件①由an-an1=2anan1,a1=1知anan1≠0,(1分)(2分)当n≥2时,an an-I1-1=2+2+…+24=2(1-2则一1-2=2”-2,1=2-1,即a,=2-1(4分)当n=1时,a1=1也符合上式,(5分)选条件②数列是公比为2的等比数列且a1=1,a+11+1,21,即1+1=2…a=(5分选条件③由a1+3a2+7a3+…+(2-1)an=n,①得当n≥2时,a1+3a2+7a3+…+(2"1-1)an1=由①-②得(2-1)a.=1,即a=1(3分)2"-1当n=1时,a1=1也符合上式a.=(5分)(2)由(1)知,b。=(-1)°(3·2-2)(2-1)(2-1)221)11)+(3+7)-(7532t2--2-2-1(10分)

24.D【解题思路】考査世界政治经济格局。结合所学和时政背景可知,当今世界在经济全球化进程中,传染病横行等问题日益突出,直接危及人类的生存与发展。这需要我们要推行可持续发展战略,建立起公正、合理的国际政治、经济新秩序,各国共同构建人类命运共同体。中国政府坚持多边主义和共商、共建、共享原则。因此①2③④,答案选D
以上就是2022仁爱版七年级下册英语周报48期答案,更多英语周报答案请关注本网站。
本文地址: http://www.ncneedu.cn/post/13736.html
文章来源:admin
版权声明:除非特别标注,否则均为本站原创文章,转载时请以链接形式注明文章出处。
2023-04-05admin
2023-04-05admin
2023-04-05admin
2023-04-05admin
2023-04-05admin
2023-04-05admin
2023-02-24admin
2023-02-24admin
2023-02-24admin
2023-02-24admin
扫码二维码
获取最新动态
