
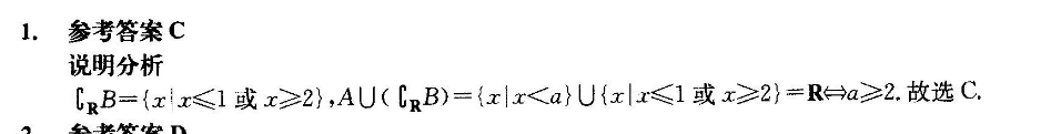
1.参考答案C说明分析B={xx≤1或x≥2},A∪(B)={x|x



19.几何法:(1)证明:易知当PA=AC,E为PC的中点时,AE⊥PC;且由C点在以AB为直径的圆上,可得AC⊥BC.………2分另外,PA⊥底面ABC,且BCC面ABC,则PA⊥BC而PAc面PAC,ACC面PAC,PA∩AC=A,可知BC⊥面PAC.…………4分因为AEC面PAC,所以BC⊥AE又PCC面PBC,BCC面PBC,且PC∩BC=C,可知AE⊥面PBC,又PBC平面PBC,故AE⊥PB.6分(2)如图1,过点E作EF⊥PB交PB于点F,由AE⊥PB,EF⊥PB可知∠AFE为二面角C-BP-A的平面角,…8分由余弦定理知∞∠AFE、AE=,BF、原若设PA=a,则可求得AF=⑤10分AE 1则二面角C-BP-A的大小为60°.…12分注:若利用(1)中AE⊥面PBC所得AE⊥EF,即RT△AEF中AF=5a,AE=2a,也可求得√3sin∠AFE=图空间向量法:由BC⊥AC,BC⊥PA,知BC⊥面PAC,在平面ABC内过A作垂直AC的直线为x轴,ACAP所在的直线为y轴,z轴;即以A为坐标原点,建立如图2的空间直角坐标系,……2分可设PA=a(1)若设BC=b,则A(0,0,0),B(b,a,0),C(0,a,0),P(0,0,a),…4分因此E(0号号)其中A=(,·号),P=(bm,一a),故A,P=故AE⊥PB6分(2)当PA=AC,E为PC的中点时,AE⊥P℃,则由(1)知AE⊥面PBC,故可取面PBC的一个法向量为AE=(0.2,);一……8分(2)当PA=AC,E为PC的中点时,AE⊥℃,则由(1)知AE⊥面PBC,故可取面PBC的一个法向量为AE=(02兰)8分当PA=AC=BC=a时,AP=(0,0,a),AB=(a,a,0),图2若设面PAB的法向量为u=(x,y,z),则可取u=(1,-1,0)10分AB=0,ar+ay=0.则cos(AE,)=由图可知二面角C一BPA为锐角,所以二面角C一BP一A的大小为60.…12分
以上就是2022-2022英语周报高二牛津综合答案,更多英语周报答案请关注本网站。
本文地址: http://www.ncneedu.cn/post/13245.html
文章来源:admin
版权声明:除非特别标注,否则均为本站原创文章,转载时请以链接形式注明文章出处。
2023-04-05admin
2023-04-05admin
2023-04-05admin
2023-04-05admin
2023-04-05admin
2023-04-05admin
2023-02-24admin
2023-02-24admin
2023-02-24admin
2023-02-24admin
扫码二维码
获取最新动态
