
分,母万1)X正常翅和小翅在子代雌雄个体中的性状分离比不同,说明Aa基因位于X染色体上(2)0 boXY、 boXYbXA: bXa: bY=l: 1:2(3)5:11(4)遗传图解:(3分)bbBb雄果蝇雌果蝇配子Fbb文字说明:子代Bb和bb各占12,其中Bb的个体雌雄各占2,bb的个体均为雄性,故子代雌:雄=1:3

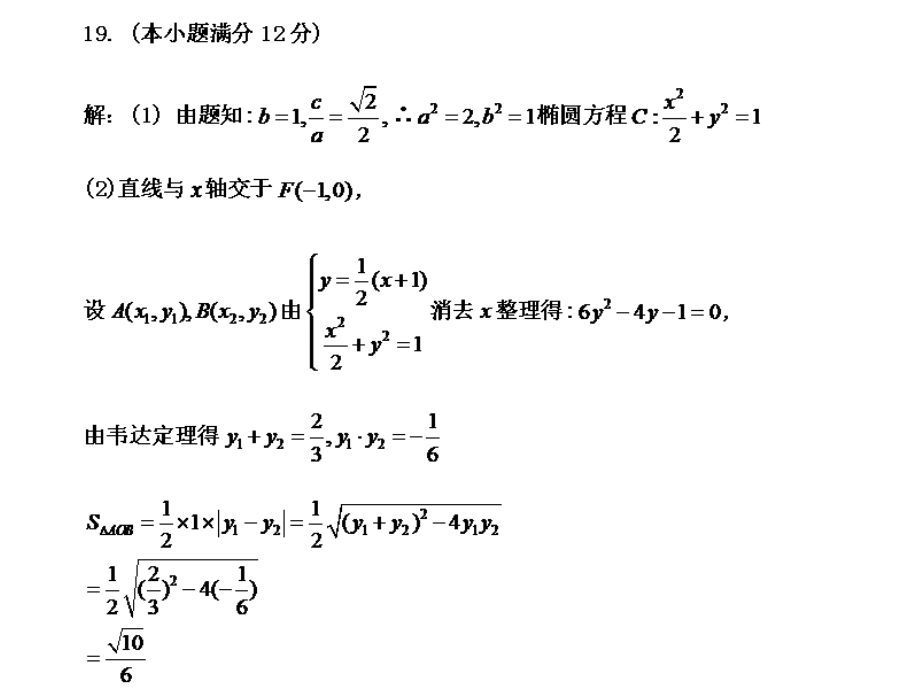
9.(本小题满分12分)解:(1)由题知:b=1=√2:a=2b1椭圆方程c:+y-1(2)直线与x轴交于F(-10)x十设从(xn1)B(x2y2)消去x整理得:6y2-4y-1=0,y2由韦达定理得y1+y2=,ny2M CB2V1+y)-41y2y3√106
以上就是2021-2022英语周报七年级新课标重庆答案,更多英语周报答案请关注本网站。
本文地址: http://www.ncneedu.cn/post/12511.html
文章来源:admin
版权声明:除非特别标注,否则均为本站原创文章,转载时请以链接形式注明文章出处。
2023-04-05admin
2023-04-05admin
2023-04-05admin
2023-04-05admin
2023-04-05admin
2023-04-05admin
2023-02-24admin
2023-02-24admin
2023-02-24admin
2023-02-24admin
扫码二维码
获取最新动态
