2022-2023学生双语报天津高三w版答案,目前学生双语报答案网已经整理了2022-2023学生双语报天津高三w版答案的各科答案和试卷,更多学生双语报答案请关注本网站。



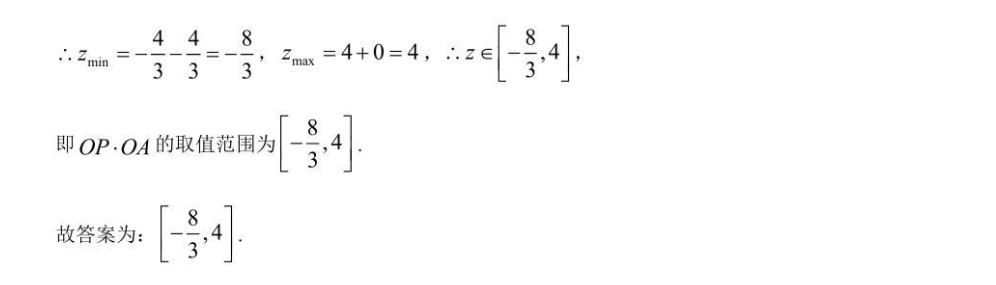
2x-y≥015.点P(x,y)满足不等式组{x+y-2≤0,点A(2,1),O为坐标原点,OP.OA的取值范围是x-2y-2≤0【答案】[;【解析】【分析】由向量数量积坐标运算可知需求z=2x+y中的z的取值范围:由约束条件可得可行域,将问题转化为y=一2x+z在y轴截距取值范围的求解问题,采用数形结合的方式可求得结果【详解】OP=(x,y),OA=(2,1),.OP.OA=2x+y,令z=2x+y,则z的取值范围即为y=-2x+z在y轴截距的取值范围:由约束条件可得可行域如下图阴影部分所示,2x-y=0Dx-2y-2=0x+y八-2=0y=-2x+zy=-2x+z由图象可知:当y=-2x+z过D点时,z取得最小值;过点C时,z取得最大值:22x-y=0由得:x-2y-2=0y=-x-2y-2=0由得x+y-2=0c2o:4482mm=-333m=4+0=4,[4]即0PO1的取值商用为[号故答案为:[

0若e2使得2x-x。+1<0成立是假命题,则实数入可能取值是()A.2√2B.23C.4D.5【答案】A【解析】【分折】由存在性命您的否定为可得全称命愿,将问选特化为天52x+上对Vx2]恒成之。利用基本不等式可求得入的取值范围,由此可得可能的取值.【详解】原命题为后鱼愿,:其香定:日2,2-+1上0为亮命题,即xe又2+之22r=25(省且仅当2x即x=2时取等号)2.2的取值范围为(-0,2√2],则选项中入可能的取值为2√2故选:A.
