


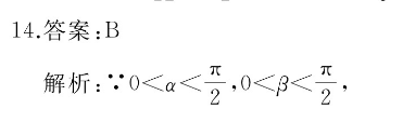
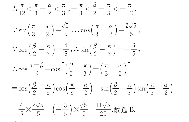
5.答案:A解析:由1,a,81成等比数列有:a2=81,所以a=±9,当a=9时,方程为x2+2=1,表示焦点在y轴的椭圆其中a1=3,c1=√9-1=2√2,故离心率e2√2当时,方程为x1,表示焦点在x轴的双曲线其中a2=1,C2=1+9=√10,故离心率e√10,故选A
以上就是2021-2022高一课标英语周报第六期答案,更多英语周报答案请关注本网站。
本文地址: http://www.ncneedu.cn/post/12030.html
文章来源:admin
版权声明:除非特别标注,否则均为本站原创文章,转载时请以链接形式注明文章出处。
2023-04-05admin
2023-04-05admin
2023-04-05admin
2023-04-05admin
2023-04-05admin
2023-04-05admin
2023-02-24admin
2023-02-24admin
2023-02-24admin
2023-02-24admin
扫码二维码
获取最新动态
