

4.(1)由题设可得M(2√a,a),N(-2√a,a),或M(-2√a,a),N(2√a,a)又在x=2√a处的导数值为aC在点(2√a,a)处的切线方程为y-a=√a(x-2√a),在a处的导数值为C在点(-2a,a)处的切线方程为y-aa(即√ax+y+a故所求切线方程为√ax-y-a=0和√ax+y+a=0(2)存在符合题意的点,证明如下设P(0,b)为符合题意的点,M(x1,y1),N(x2,y2),直线PM,PN的斜率分别为k1,k2将y=kx+a代入C的方程得x2-4kx-4a=0故x1+x2=4k,x1x24故x1+x2=4k,x1x2=-4abb从而k1+k22kx1x2+(a-b)(x1+x2)k(atb)当b=-a时,有k1+k2=0,则直线PM的倾斜角与直线PN的倾斜角互补,故∠OPM=∠OPN,所以点P(0,-a)符合题意


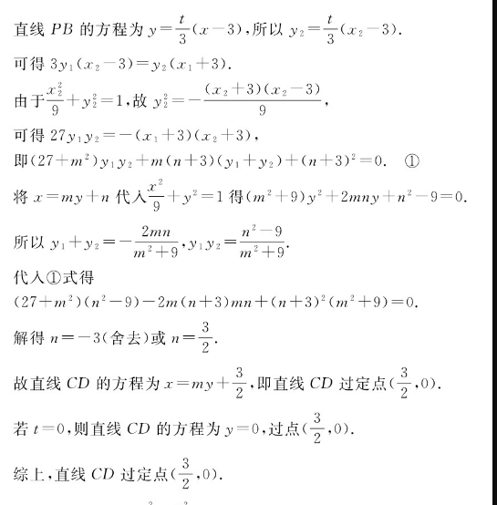
7.(1)由题设得A(-a,0),B(a,0),G(0,1)则AG=(a,1),GB=(a,-1)由AG·GB=8得a2-1=8,即a=3所以E的方程为+y2=1(2)设C(x1,y1),D(x2,y2),P(6,t)由于直线PA的方程为y9(x+3),所以y9(x1+3若1≠0,设直线CD的方程为x=my+n,由题意可知-3
以上就是英语周报 2018-2022九年级 新目标 1答案,更多英语周报答案请关注本网站。
本文地址: http://www.ncneedu.cn/post/11987.html
文章来源:admin
版权声明:除非特别标注,否则均为本站原创文章,转载时请以链接形式注明文章出处。
2023-04-05admin
2023-04-05admin
2023-04-05admin
2023-04-05admin
2023-04-05admin
2023-04-05admin
2023-02-24admin
2023-02-24admin
2023-02-24admin
2023-02-24admin
扫码二维码
获取最新动态
