2022-10-08
三、解答题17.解:(1)由题意可得列联表:不常吃零食常吃零食总计不患齲齿60100160患龋齿140500640总计200600800(2分)所以K2800×(60×500-100×140)≈16.667>160×640X200×60010.828故能在犯错率不超过0.001的前提下,认为该地区学生的常吃零食与患齲齿有关系(5分)(2)设其他工作人员为丙和丁,4人分组的所有情况如
2022-10-08
10.B〖命题立意】本题考查文言断句的能力。【选项分析】“忠贤及魏广微三十二斩罪”作“草奏劾”的宾语,中间不可断开,故排除A、C两项。“拟十一月二日上之”是“打算在十一月日呈上奏章”的意思,语意完整,中间不可断开,故排除D项11c【命题立意】本题考查了解并掌握常见的古代文化知识的能力选项分析】殿下是中国古代对诸侯或皇太子等的尊称,不能用来称丞相。2.D【命题立意】本题考查归纳内容要
2022-10-08
23.D【解析】全社会都要崇尚劳动、赞美劳动、尊重劳动者、致敬劳动者,这是因为美好生活靠劳动创造,广大劳动群众的生产活动是社会存在和发展的基础,劳动是促进人的自由全面发展的重要手段,②④符合题意;实践观点是辩证唯物主义历史观的基本观点,①错误;作出正确价值判断和价值选择的客观要求是遵循社会发展的客观规律,自觉站在最广大人民的立场上,③错误。 46.(1)原因:作为法西斯轴心国集团的
2022-10-08
20.(1)①发展社会主义市场经济必须坚持党的领导发挥党总揽全局、协调各方的领导核心作用。(2分)②以公有制为主体、多种所有制经济共同发展为社会主义市场经济体制的根基,发展壮大国有经济巩固公有制的主体地位。(2分)③以促进全体人民实现共同富裕为根本目标,增加居民的收入,使脱贫攻坚取得决定性成就。(2分)④实施科学的宏观调控、有效的政府治理,发挥国家集中人力物力、财力办大事的优势,完成一系
2022-10-08
36-40 ACEGF 永潭水难以下渗,引发水位上涨,出现永。(答出二点,6分24.(1)山区耕地土壤有机碳密度整体高于平原地区;西部、北部地区土壤有机碳密度较大,东南部地区土壤有机碳密度较小等。(4分,答案合理可酌情给分)(2)差异:平原小麦种植区耕地表层土壤有机碳密度比城市近郊蔬菜种植区低。(2分)原因:平原小麦种植区耕地为机械化翻耕,且施肥量小,使得土壤有机碳密度较小;近郊蔬
2022-10-08
10.B〖解析】如图,取D1D的中点F,连接A1F,EF,则EF∥BD1,∴∠A1EF即为异面直线A1E与BD1所成的角.设正方体ABCDA1B1C1D1的棱长为2,则在Rt△A1AE中,A1A=2,AE=√2,∴A1E=√A1A2+AE=√6.在Rt△DEF中,EF=√DE+DF=√(2)2+12=3.在Rt△A1DF中,A1F=√A1D2+D1F=√22+1=5.在△A1EF中,由余
2022-10-08
意是:于是张运上硫说:“请求下诏书安抚将士,免除租税,派遣信使,联豪城(力量),督促汉中的将士向关陕进发以便牵制敌人后方。在两淮、裹汉之间设置四镇三帅来作为内地支柱,以图谋进军夺取失谔租赋遣信使”等是张运“上疏”的内容,故应在“上疏”后断开,排除A、D两是“制”的宾不能断开,排除B项11.B“历代均直接授予官职”锴。有的朝代常科登第后,还要经吏部考试,叫选合格者,才能授予官职抗进犯庐州、
2022-10-08
38.(13分,除标注外,每空2分)(1)Na、Cl-维持渗透压稳定770kPa(2)地球上的生命起源于原始海洋3渗透压、酸碱度、温度(4)不会(1分)因为人体内组织细胞生活的内环境渗透压是相对稳定的【解析】(1)从表中可以看出,Na和C-的含量在人的体液和海水中含量最高。在组成细跑外液的各种无机盐离子中,含量上占有明显优势的是Na+和Cl-,细胞外液渗透压的90%来源于Na+和Cl-,
2022-10-08
第三节One possibleversionParagraph 1He was determined to protect the flowers. So he built ahigh wall around them. Not feeling satisfied, he even setup rules as to who could enter the garden, how the
2022-10-08
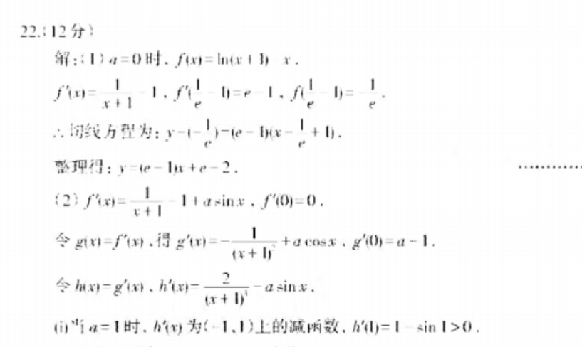
22.:12分解::1〃=0时.fx=lmx1Dx线力型为:x-1-1)--1x-1+1.警平得:y-lx+e-22:f(x=tt II t dsin x./(0=0令g=fx,得g1x=-1,-+ u r os1,g(0=a-1f+ I令hx=gx,ho sin 1i"i4=1时.hv为(1,1)上的减函效,hl=1sin1>01 ˂x 0,hx递增又此时hO=0,数1
2023-04-05admin
2023-04-05admin
2023-04-05admin
2023-04-05admin
2023-04-05admin
2023-04-05admin
2023-02-24admin
2023-02-24admin
2023-02-24admin
2023-02-24admin
扫码二维码
获取最新动态
