


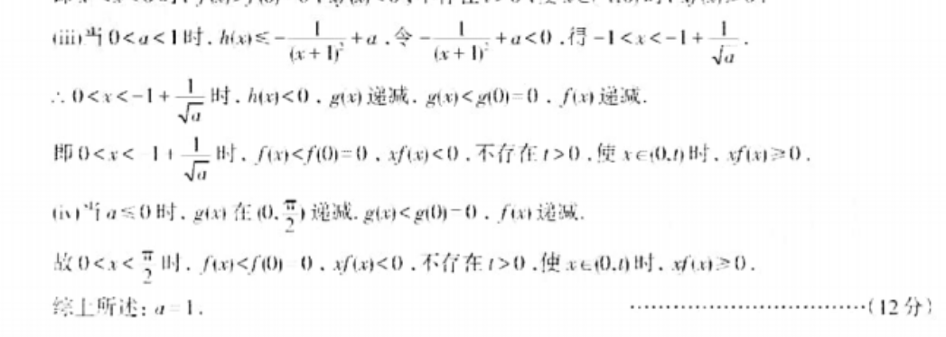
22.:12分解::1〃=0时.fx=lmx1Dx线力型为:x-1-1)--1x-1+1.警平得:y-lx+e-22:f(x=tt II t dsin x./(0=0令g=fx,得g1x=-1,-+ u r os1,g(0=a-1f+ I令hx=gx,ho sin 1i"i4=1时.hv为(1,1)上的减函效,hl=1sin1>01

36 40 EFGCB
以上就是2022英语周报九年级新目标HCG答案,更多英语周报答案请关注本网站。
本文地址: http://www.ncneedu.cn/post/1251.html
文章来源:admin
版权声明:除非特别标注,否则均为本站原创文章,转载时请以链接形式注明文章出处。
2023-04-05admin
2023-04-05admin
2023-04-05admin
2023-04-05admin
2023-04-05admin
2023-04-05admin
2023-02-24admin
2023-02-24admin
2023-02-24admin
2023-02-24admin
扫码二维码
获取最新动态
