2022-10-08
31.(7分,每空1分)(1)促胰液素胰腺2)下丘脑肾小管和集合管增加3)分级〈负〉反馈调节 13132 以上就是2019—2022英语周报高二牛津HN答案,更多英语周报答案请关注本网站。
2022-10-08
5.B【解析】负反馈调节是自然生态系统自我调节能力的基础;能量是单向流动的,不能循环利用;火灾后的森林生态系统恢复的过程属于次生演替;保护生物多样性的基本原则是合理开发和利用自然资源。故选B 16,C【解析】Bt6蚩白随烟粉虱唾液进入植物.抑制茉莉酸启动的抗虫反应,使烟粉虱数量迅速增长。Bt56基因表达被抑制的燜粉虱在寄主植物上的数量增长会减慢,与其相比,Bt56基因表达未被抑制的
2022-10-08
本文是一篇说明文,文章指出,假期也是一个对他人表达谢意的好机会,并简要介绍了几GI n nra Do s3.G设空处前一句提到假期是一个表达感谢的好机会,下一句承上启下,总领下文,表明在富有创意的表达谢意的方式假期有多种简单的方式向别人表达面意,由此可知,设空处应进一步表明在假期向他人表达谢意是一个好想法。G项所述符合语境且在段中起承上启下的作用。故选G37.D根据上文可知,在现在数字化
2022-10-08
19.(1)证明:因为四边形ABCD为菱形,所以BD⊥AC.因为平面PAC⊥平面ABCD,平面PAC∩平面ABCD=AC,BDc平面ABCD,所以BD⊥平面PAC,(2分)因为PAC平面PAC,所以PA⊥BD(3分)又因为PA=AB=2,PB=2√2,所以PA2+AB2=PB2,所以PA⊥AB(5分)又因为AB,BDC平面ABCD,AB∩BD=B,所以PA⊥平面ABCD.(6分)(2)解
2022-10-08
24什么Q命题人考查动量守恒定律、动能定理、竖直平面内的圆周运动、机械能守恒定律,旨在考查考生的分析综合能力这么考O(1)设小球B通过C点时速度为v,小球B恰好能通过最高点C,则有:mg=m(1分)从小球B与弹簧分离到通过最高点C的过程,根据动能定理可得:mg·2R=12m0c-2m2(1分)联立解得:U=5m/s(1分)(2)小球B与弹簧分离前后,小球A、B及弹簧组成的系统动量守恒、
2022-10-08
9解:(1)∵PA=PD,且E为AD的中点,PE⊥AD∵平面PAD⊥平面ABCD,平面PAD∩平面ABCD=AD,∴PE⊥平面ABCD∵BCC平面ABCD,∵PE⊥B(10分(2)如图,取PC中点G,连接FG,GDEF,G分别为PB和PC的中点,∴FG∥BC,且FG=BC∵四边形ABCD为平行四边形,且E为AD的中点,ED∥BC,DE=2BC,∴ED∥FG,且ED=FG,∴四边形EFGD
2022-10-08
1.【答案】D解析】A2.4L(标准状况)3He含有3N个中子和质子,中子数为MB1 moI Ne4Cl含有(7+4×1+17)=28M个电子C.草酸不是强酸,故1L1molL-1H2C2O4溶液含有理离子数小于2ND46 gHCOOH和46 sChOCH2的物质的量均为01mol且均由分子构成,故均含有0.N个分子 36.F。和前面的句子并列,一起陈述给孩子零花钱的好处。37.D
2022-10-08
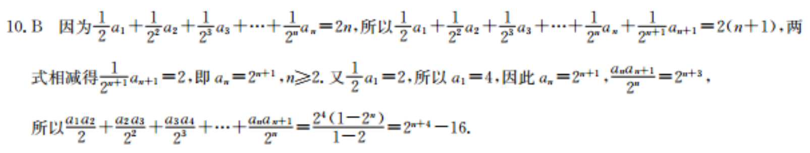
1B因为1+++…+u=2m,所以1+++…+u,+m:=20n+1)两式相减得2+:=2,即a=21,n≥2.又“1=2,所以a=4,因此a=2+1,=2+…所以a+22a24343a4+…+4n(x+1=2(1=2)=2+4-1622 l.C(A项,由原文“在这样的情况下,倍速播放’就成了急性子观众的看剧神器”可知,选项范围扩大。B项,由原文“甚至还能根据个人喜好,只看剧中某位
2022-10-08
第二节本文是一篇说明文。文章介绍了一种由菠萝叶纤维制成的新型纺织材料,这种材料结实又富有弹性,像皮革但又非常环保。61. develo ping考查非谓语动词。由 spend可知此处考查“ spend+时间+(n) doing”句式,因此需用所给词汇的动名词形式。故填 developing62. which考查定语从句的关系词。分析句意可知,此处指 pineapple leaf fibe
2022-10-08
19.【答案】【解析】ac为细胞间期,该时期进行蛋白质合成,因此c点RNA的种类和数量高于a点,A错误:该段包括前期和中期,两个时期同源染色体组数和每对同源染色体的条数都是2,B正确:ef段包括有丝分裂后期和末期,由于是有丝分裂,该细胞中存在等位基因,C错误:用药物抑制纺锤体形成,细胞中染色体不能移向细胞两极,但是着丝点到一定阶段断裂,最终每条染色体含有一个DNA分子,D错误 15
2023-04-05admin
2023-04-05admin
2023-04-05admin
2023-04-05admin
2023-04-05admin
2023-04-05admin
2023-02-24admin
2023-02-24admin
2023-02-24admin
2023-02-24admin
扫码二维码
获取最新动态
