



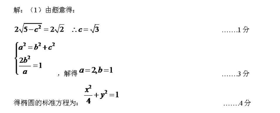
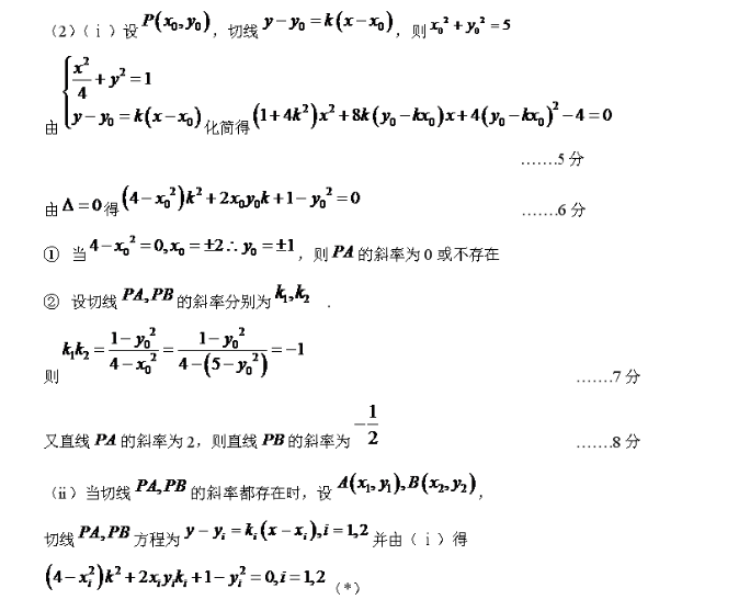
解:(1)由题意得1分a2=b2+c2,解得a=2b=13分得椭圆的标准方程为:4y2=1P(x,%)(x-x)简a(+4)2+(-b)x+4(-b)2-4=0则P的斜率为0或不存在②设切线PAPB的斜率分别为4,又直线PA的斜率为2,则直线PB的斜率为28分i)当切线PPB的斜率都存在时,设a(y1,3)B(*,,y2)k r-r),i=12(4-x)k2+2x+1A在椭圆上,得4得9分切线PA,PB的方4+y=1=l2+yy=1=12所以直线AB方程为4+yyy-x2=4(x-x)PD1AB得直线P方程为联立直线AB方程为4p巧(+3yxo +16yoh=B(+3)x2+16y2由2+y2=5得Q点轨迹方程为162+5y2焦点恰为QF+eFx切线PAPB的斜率有一个不存在时,如PB斜率不存在,则B(20)P(2D,AO,D),直线AB方程为P方程为y可解得55,Q点也在椭固16B(20),同理可得8QF+eFx得

14.(共12分)(1)突触小降(负反馈控制物质进出细胞、进行细胞间的信息交流(4)CD
以上就是2018-2022年英语周报高一30期答案,更多英语周报答案请关注本网站。
本文地址: http://www.ncneedu.cn/post/5266.html
文章来源:admin
版权声明:除非特别标注,否则均为本站原创文章,转载时请以链接形式注明文章出处。
2023-04-05admin
2023-04-05admin
2023-04-05admin
2023-04-05admin
2023-04-05admin
2023-04-05admin
2023-02-24admin
2023-02-24admin
2023-02-24admin
2023-02-24admin
扫码二维码
获取最新动态
