

3(1)扩散现象(2分)布朗运动(2分)扩散现象(1分)解析:诗句中“花气袭人"说明发生了扩散现象,而造成扩散加快的直接原因是“骤暖”,即气温突然升高造成【2021冲刺压轴卷理综参考答案第的,从物理学的角度看就是当周围气温升高时,花香扩散加剧;布朗运动是悬浮在液体或气体中的微粒所做的永不停息的无规则运动,小炭粒在不停地做无规则运动,这是布朗运动:发现金中有铅,铅中有金属扩散现象,是由于两种不同物质分子运动引起的(2)解:①对球内的气体,初状态:P1=P,V1=V。(1分)末状态:P=P+△P,12=△V+V。(1分)由玻意耳定律VIP(2分)解得②当球内压强变为原来的一P(1分)玻意耳定律得PV=解得VV3(2分因此漏掉的气体的质量与原来的质量之比为


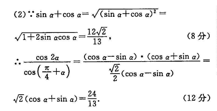
√218解:(1)∵cosa-sina=13a∈(0,x两边平方可得1-2 sin acos a5069∴ sin acos a=9338(4分)(2)∵sina+cosa=√(sina+cosa)2=12√2√1+2 Sin cos a=(8分)13cos 2a(cosa-sina)·( cos at sin a)二c8(+a)Yo(cos asin a)2(cos a+sin a242)=13(12分)
以上就是2022英语周报第四十四期课标版答案,更多英语周报答案请关注本网站。
本文地址: http://www.ncneedu.cn/post/3245.html
文章来源:admin
版权声明:除非特别标注,否则均为本站原创文章,转载时请以链接形式注明文章出处。
2023-04-05admin
2023-04-05admin
2023-04-05admin
2023-04-05admin
2023-04-05admin
2023-04-05admin
2023-02-24admin
2023-02-24admin
2023-02-24admin
2023-02-24admin
扫码二维码
获取最新动态
